Assalamualaikum Warahmatullahi Wabarakatuh,
Salam sejahtera bagi kita semua.
Perkenalkan nama saya Rafi Daffa Putra Hariza dengan NPM 2306222254 dari kelas Metode Numerik-01. Pada blog ini saya akan memaparkan analisis saya terhadap simulasi perpindahan panas 2D yang saya lakukan sebelumnya di software CFDSOF.
Simulasi ini bertujuan untuk memahami bagaimana perpindahan panas terjadi di sebuah environment dengan material tertentu. Dalam simulasi ini kita menggunakan plat berukuran 1×1 m2 yang terbuat dari material stainless steel ( k=16.2 W/mK). Dengan melakukan simulasi perpindahan panas menggunakan software CFDSOF, kita dapat mengeksplor fenomena perpindahan panas dan melakukan prediksi terhadap pola perpindahan panas tersebut dengan metode numerik.
Pada blog ini saya akan melakukan analisis dengan bantuan Grok AI. Analisis ini ditinjau berdasarkan tiga aspek yang diperintahkan, yaitu:
- Melakukan curve fitting dari data hasil simulasi
- Menghitung daya panas (P=โซ q dA) dengan metode integral numerik
- Memvisualisasikan persebaran daya dengan heat map
Saya juga tidak lupa menggunakan framework DAI5 dalam mengerjakan analisis simulasi ini. Dengan memahami betul konsep DAI5, apapun masalah dan rintangan yang kita lalui akan terasa semakin mudah dan jelas. Kita juga tidak akan mudah goyah dan terdistraksi dari hal-hal luar yang dapat mengganggu kita menyelesaikan masalah karena kita memegang teguh self-consciousness dan self-awareness dalam diri kita.
1. Analisis Curve Fitting
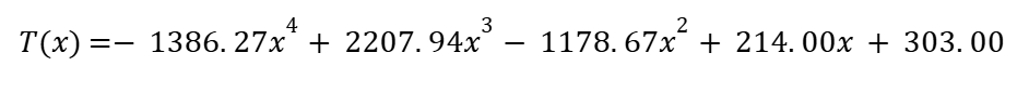
Disini saya melakukan prompting untuk melakukan curve fitting terhadap data hasil simulasi saya dengan menggunakan metode yang paling sesuai. Grok AI menyarankan untuk menggunakan dua metode Curve Fitting, yaitu 4th degree polynomial fit dan sinusoidal fit. Dalam perhitungan yang dilakukan, didapatkan persamaan untuk 4th degree polynomial fit sebagai berikut:

Sehingga didapatkan persamaan polinomial:

Selanjutnya untuk persamaan sinusoidal:

Parameter:

Persamaan:

*Grafik Curve Fitting Temperatur*

Pada grafik ini, kurva merah menunjukkan kurva dari persamaan 4th degree polynomial fit dan kurva hijau menunjukkan kurva dari sinusoidal fit, serta titik-titik biru menunjukkan data suhu pada simulasi.
Dapat terlihat bahwa model polinomial lebih akurat dibanding model sinusoidal. Letak titik-titik biru sangat mendekati kurva polinomial dan cukup menyimpang dari kurva sinusoidal, sehingga model polinomial dapat dikatakan lebih baik dalam menggambarkan tren suhu dibandingkan model sinusoidal. Pemilihan metode curve fitting yang tepat merupakan hal yang penting untuk memaksimalkan prediksi dan merepresentasikan data dengan sesuai sehingga analisis yang kita lakukan dapat dilakukan dengan baik.
2. Perhitungan Daya
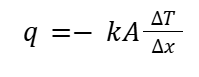
Perhitungan dilakukan dengan menggunakan Fourierโs Law:

Dengan konduktivitas termal sebesar k= 16.2 W/mK
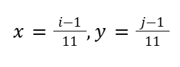
Setiap cell memiliki dimensi:

- Heat Flux di arah x

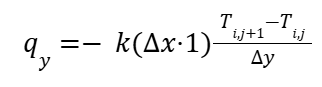
- Heat Flux di arah y

- Total Energi Panas dalam setiap cell:

- Gradien Temperatur:

- Untuk cell i,j, kita mengakproksimasi:

Sehingga didapatkan daya panas:
Heat Energy (W) =

Dapat dilihat nilai daya panas maksimum ada di angka 56.9 W dan minimum 0 W.
3. Analisis Visual Persebaran Daya
a.) Grafik Distribusi Energi Panas

Heat map ini menunjukkan distribusi energi panas (W) yang dibagi menjadi grid 12×12. Kontur warna merepresentasikan intensitas energi panas, dengan warna merah pekat menunjukkan nilai energi panas tertinggi dan warna biru tua menunjukkan nilai energi panas terendah. Dapat dilihat pada heat map ini, sisi atas memiliki energi panas keluar sebesar -241.43 W, sedangkan sisi bawah menerima 191.20 W. Sisi kiri dan kanan juga menunjukkan fluks panas keluar tetapi dengan nilai lebih kecil. Heatmap cukup sesuai dengan kondisi sempadan yang kita input pada simulasi, yaitu W3 dengan suhu sekitar 373 K dan W4 sekitar 353 K.
b.) Grafik Distribusi Temperatur

Heat map ini menunjukkan distribusi temperatur (K) dengan grid 12×12. Warna dalam kontur merepresentasikan variasi suhu, di mana warna semakin merah menunjukkan daerah dengan suhu lebih tinggi dan warna semakin biru menunjukkan daerah dengan suhu lebih rendah. Dari heat map ini, terlihat bahwa sisi atas memiliki suhu sekitar 353 K, sedangkan sisi bawah memiliki suhu hingga 361 K. Sisi kiri dan kanan cenderung lebih dingin dengan suhu sekitar 303 K hingga 328 K. Distribusi temperatur ini berbanding lurus dengan distribusi energi panas pada heat map sebelumnya, di mana fluks panas yang keluar dan masuk mempengaruhi gradien suhu di dalam plat.
Kesimpulan
1. Curve Fitting
- Model polinomial orde ke-4 memberikan hasil yang lebih akurat dalam merepresentasikan data dibandingkan dengan model sinusoidal.
- Pemilihan metode curve fitting yang tepat sangat penting dalam memaksimalkan prediksi dan analisis data, sehingga model yang digunakan dapat merepresentasikan tren suhu dengan lebih baik.
2. Perhitungan Daya Panas
- Menggunakan hukum Fourier, distribusi heat flux bisa dihitung berdasarkan gradien suhu dalam arah x dan y.
- Energi panas maksimum yang diperoleh dalam simulasi ini adalah 56.9 W, sedangkan minimum adalah 0 W.
- Hasil perhitungan ini sesuai dengan fenomena perpindahan panas pada plat berdasarkan kondisi sempadan yang diberikan.
3. Visualisasi Persebaran Daya dan Temperatur
- Distribusi energi panas dan suhu menunjukkan korelasi yang sesuai dengan prinsip perpindahan panas, di mana fluks panas yang masuk dan keluar mempengaruhi gradien suhu di dalam plat.
- Heat map distribusi energi panas menunjukkan bahwa sisi atas plat memiliki fluks panas keluar sebesar -241.43 W, sementara sisi bawah menerima 191.20 W.
- Heat map distribusi temperatur menunjukkan bahwa suhu berkisar antara 303 K hingga 373 K, dengan sisi atas lebih panas dibandingkan sisi bawah.
Berikut link Google Docs untuk memperjelas penjelasan: https://docs.google.com/document/d/1KBan3fKG2bKEj8PfBJtNXe0sknqCaAoa8HzOzh5sXR8/edit?usp=sharing
Sekian blog dari saya, mohon maaf bila ada kesalahan dalam penjesalan.
Wassalamualaikum warahmatullahi wabarakatuh.