Selamat Pagi/Siang/Malam Prof.DAI dan teman teman semua. Saya Agil Gilang Ramadhan dengan NPM 2406485412 dari kelas Metode Numerik 03 akan menyampaikan beberapa progres saya dalam menganalisis projek “Optimasi Bentuk Diffuser pada Pipa (Pemanfaatan Aliran Fluida)”
Saya menyadari bahwa dalam merancang (menjadi engineer), kita tidak hanya mengejar efisiensi, tetapi memiliki niat untuk menciptakan sistem yang berkelanjutan dan hemat energi.
Dari riset awal, saya memahami bahwa performa diffuser sangat bergantung pada stabilitas aliran fluida. Secara dasar, efisiensi diffuser dipengaruhi oleh:
- Sudut Bukaan (Divergence Angle): Sudut yang terlalu besar akan memicu pemisahan aliran (flow separation) yang menyebabkan turbulensi dan kerugian tekanan (pressure drop). Sebaliknya, sudut yang terlalu kecil membuat pipa terlalu panjang dan meningkatkan kerugian gesek (friction loss).
- Bilangan Reynolds & Profil Kecepatan: Karakteristik aliran seringkali melibatkan variasi debit yang tidak menentu. Oleh karena itu, diffuser harus dirancang agar tetap stabil pada rentang kecepatan aliran yang fluktuatif.
- Efisiensi vs Footprint: Optimasi dilakukan untuk mencari titik temu (trade-off) antara dimensi fisik yang kompak (feasibility pemasangan) dengan performa hidrolik yang maksimal.
Ada beberapa rumus dan konsep yang akan membantu saya dalam projek ini seperti :
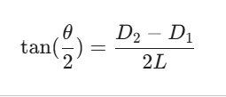
Mencari Geometri Sudut Diffuser :

Hukum Bernoulli:

Oleh karena itu, saya akan mencari konfigurasi diffuser (sudut bukaan dan panjang transisi) yang meminimalkan pressure drop dengan tetap mempertimbangkan kemudahan manufaktur. Sebagai tahap awal, saya akan fokus pada analisis pengaruh sudut bukaan terhadap koefisien tekanan dan pemetaan zona turbulensi di VisualFOAM.
Untuk progres selanjutnya, saya akan menentukan batasan parameter desain yang realistis, membangun model CFD 2D, melakukan validasi hasil simulasi terhadap teori mekanika fluida dasar, dan mulai mengimplementasikan metode numerik untuk mencari sudut optimal.
Dengan proyek ini, saya berharap dapat memahami metode numerik secara mendalam sekaligus menerapkannya dengan kesadaran penuh untuk memberikan solusi nyata pada sistem perpipaan yang lebih efisien.
Video penjelasan singkat mengenai progres awal ini dapat dilihat pada tautan berikut: [Link menyusul]
Sekian progres report dari saya, terima kasih. Wassalamualaikum warahmatullahi wabarakatuh.