
Bagaimana listrik dihasilkan? Di balik setiap stasiun pembangkit, ada mesin besar turbin yang bekerja berdasarkan resep termodinamika yang unik. Industri pembangkit daya modern didominasi oleh dua siklus klasik: Siklus Brayton pada Turbin Gas dan Siklus Rankine pada Turbin Uap. Memahami perbedaan fundamental keduanya adalah kunci untuk mengapresiasi kejeniusan di balik pembangkit listrik paling efisien di dunia.
1. Siklus Brayton: Kekuatan di Fase Gas
Siklus Brayton adalah model ideal yang digunakan pada Turbin Gas, beroperasi seperti mesin jet atau mesin pembakaran internal raksasa. Fluida kerjanya adalah gas/udara yang tidak mengalami perubahan fase selama siklus berlangsung.
Proses Inti Siklus Brayton
Siklus ini melibatkan empat proses utama:
- Kompresi: Udara ditekan secara isentropis (idealnya tanpa kerugian entropi) di Kompresor.
- Penambahan Panas: Bahan bakar dibakar pada tekanan isobarik (konstan), menghasilkan gas panas.
- Ekspansi: Gas panas berekspansi secara isentropis di Turbin Gas, menghasilkan kerja (daya).
- Pembuangan Panas: Sisa gas dibuang ke atmosfer pada tekanan isobarik.
Batasan Kunci

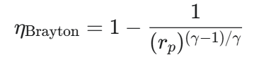
Efisiensi termal (ฮทthโ) Siklus Brayton sangat bergantung pada rasio tekanan (rpโ) yang dapat dicapai. Walaupun ideal untuk menghasilkan daya besar dengan cepat, Siklus Brayton memiliki kelemahan: proses kompresi membutuhkan kerja yang sangat besar (sekitar 40-60% daya turbin), dan yang paling penting, panas dibuang pada suhu yang relatif tinggi (โผ550โC hingga 650โC). Panas sisa inilah yang membatasi efisiensi aktualnya (biasanya di bawah 42%) pada konfigurasi tunggal.
2. Siklus Rankine: Keandalan dengan Perubahan Wujud
Siklus Rankine adalah model ideal untuk Turbin Uap. Keunikan utamanya adalah fluida kerjanya, air (H2โO), mengalami perubahan fase (dari cair ke uap, dan sebaliknya) di sepanjang siklus.
Proses Inti Siklus Rankine
- Pemompaan: Air cair dipompa secara isentropis ke tekanan tinggi.
- Penambahan Panas: Air dipanaskan hingga menjadi uap superpanas (isobarik) di boiler. Di sinilah terjadi perubahan fase dari cair ke uap.
- Ekspansi: Uap berekspansi secara isentropis di Turbin Uap, menghasilkan kerja.
- Pembuangan Panas/Kondensasi: Uap didinginkan dan dikondensasikan kembali menjadi air cair (isobarik) di Kondensor, membuang panas sisa ke air pendingin.
Keunggulan Kunci

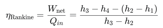
Keuntungan terbesar Siklus Rankine adalah kerja input tekanan yang sangat kecil. Karena Pompa hanya memindahkan cairan yang tidak dapat dimampatkan, daya yang dibutuhkan untuk menaikkan tekanan sangatlah kecil (โช1% dari total daya). Selain itu, Kondensor memungkinkan pembuangan panas akhir terjadi pada suhu yang sangat rendah, mendekati suhu lingkungan. Secara termodinamika, ini adalah cara paling efektif untuk memaksimalkan konversi energi panas.
3. Dari Batasan Menjadi Kejeniusan: Lahirnya PLTGU
Perbedaan mendasar antara kedua siklus ini memunculkan ide yang revolusioner. Siklus Brayton menciptakan kerugian berupa gas panas bersuhu tinggi, sementara Siklus Rankine membutuhkan sumber panas untuk menguapkan air. Inilah titik temu yang sempurna:
Memanfaatkan “Sampah” Panas
PLTGU (Pembangkit Listrik Tenaga Gas dan Uap) menyatukan kedua siklus dalam konfigurasi yang disebut Combined Cycle. Gas buang panas yang keluar dari Turbin Gas (kerugian Siklus Brayton) tidak lagi dibuang percuma. Sebaliknya, gas panas ini dialirkan ke Heat Recovery Steam Generator (HRSG).
HRSG berfungsi sebagai “jembatan termal”; ia mengambil panas dari gas buang tersebut untuk menguapkan air dan menghasilkan uap superpanas, yang kemudian digunakan untuk menggerakkan Turbin Uap (Siklus Rankine).
Efisiensi Melampaui Batas
Dengan cara ini, energi yang sudah dihitung sebagai kerugian di Siklus Brayton dimanfaatkan sebagai input energi gratis untuk menghasilkan daya tambahan di Siklus Rankine. Secara termodinamika, ini berarti:
- Sistem bekerja pada rentang suhu keseluruhan yang lebih besar (dari suhu puncak Brayton hingga suhu Kondensor Rankine).
- Pemusnahan Eksergi (kerugian kualitas energi) pada gas buang diminimalkan.
Hasilnya, PLTGU mampu meningkatkan efisiensi termal totalnya secara drastis, dari โผ35โ42% (siklus tunggal) menjadi 50% hingga 65%. Inilah kejeniusan Siklus Kombinasi: menciptakan efisiensi yang super tinggi dengan menggabungkan kelebihan dua raksasa termodinamika.