Dalam mata kuliah Sistem Konversi Energi (SKE), saya semakin tertarik untuk memperdalam pemahaman tentang efisiensi pada turbin gas. Topik ini terasa penting bukan hanya karena sifatnya yang fundamental dalam kajian teknik mesin, tetapi juga karena relevansinya yang luas terhadap aspek teknis, ekonomi, dan lingkungan.
Turbin gas merupakan salah satu teknologi utama dalam pembangkitan listrik modern, industri penerbangan, hingga sistem mekanis skala besar. Namun, keberhasilan sistem ini tidak hanya ditentukan oleh kemampuannya menghasilkan daya, melainkan juga oleh seberapa efisien energi kimia bahan bakar dapat dikonversi menjadi energi mekanik yang bermanfaat. Dengan kata lain, efisiensi menjadi indikator kunci untuk menilai performa sebuah turbin gas.
Dari sisi ekonomi, efisiensi yang lebih tinggi berarti konsumsi bahan bakar yang lebih rendah untuk menghasilkan jumlah energi yang sama. Hal ini berdampak langsung pada biaya operasional serta daya saing pembangkit listrik berbasis turbin gas. Dari sisi keberlanjutan, peningkatan efisiensi berbanding lurus dengan penurunan emisi gas rumah kaca dan polutan, sehingga mendukung agenda energi bersih dan ramah lingkungan. Sementara dari sisi desain mesin, pemahaman tentang efisiensi membuka jalan bagi inovasi dalam material, sistem pendinginan, hingga optimalisasi siklus termodinamika.
Berangkat dari alasan tersebut, saya menyusun sebuah prompt yang cukup rinci kepada AI DAI5. Tujuannya tidak hanya untuk memperoleh definisi sederhana, tetapi juga menggali pemahaman yang lebih komprehensif. Saya ingin menelusuri bagaimana efisiensi didefinisikan secara umum, lalu bagaimana ia berkembang menjadi konsep efisiensi termodinamika yang lebih presisi. Selain itu, saya juga berfokus pada pembahasan berbagai jenis efisiensi yang relevan dengan turbin gas, mulai dari efisiensi termal, efisiensi isentropik, efisiensi mekanik, hingga efisiensi keseluruhan.
Tidak berhenti di situ, saya juga ingin memahami bagaimana efisiensi turbin gas terkait dengan siklus Brayton sebagai landasan teoritisnya. Di sini, faktor-faktor seperti rasio tekanan (pressure ratio) dan temperatur maksimum (Turbine Inlet Temperature/TIT) berperan besar dalam menentukan seberapa tinggi efisiensi dapat dicapai. Terakhir, saya mengarahkan prompt pada pembahasan tentang faktor-faktor nyata yang memengaruhi efisiensi, seperti kinerja kompresor, sistem pendinginan bilah turbin, material yang digunakan, hingga berbagai kerugian energi (losses) yang tak terhindarkan.
Dengan menyusun prompt secara sistematis, saya berharap bisa mendapatkan jawaban yang tidak hanya menjelaskan teori ideal, tetapi juga memberikan gambaran nyata tentang tantangan dan batasan dalam desain serta operasi turbin gas. Pada akhirnya, proses ini saya pandang bukan sekadar untuk menjawab rasa ingin tahu, tetapi juga sebagai bentuk latihan berpikir analitis dan kritis dalam menghadapi materi yang kompleks.
PROSES MEMBUAT PROMPTING
Dalam menyusun prompt, saya memikirkan alur logis pembahasan agar jawaban AI tidak terputus-putus dan sesuai dengan arah yang saya butuhkan. Saya menyadari bahwa AI pada dasarnya akan merespons sesuai dengan bagaimana pertanyaan saya disusun. Oleh karena itu, saya mencoba menstrukturkan prompt seperti menyusun kerangka makalah kecil.
Langkah pertama, saya mulai dengan menanyakan definisi efisiensi secara umum, lalu membedakannya dengan efisiensi termodinamika. Bagi saya, penting untuk memulai dari konsep yang paling mendasar, karena tanpa pemahaman dasar, pembahasan ke tingkat lebih teknis akan terasa kosong. Dengan langkah ini, saya bisa memastikan bahwa fondasi pengetahuan sudah jelas, sekaligus menjadi titik tolak untuk membangun pemahaman yang lebih mendalam.
Setelah itu, saya mengembangkan pertanyaan ke arah jenis-jenis efisiensi turbin gas, seperti efisiensi termal, isentropik, mekanik, hingga keseluruhan. Saya secara eksplisit meminta agar jawaban disertai dengan rumus matematis dalam format LaTeX, karena rumus memberi gambaran kuantitatif yang lebih jelas. Bagi saya, melihat persamaan bukan hanya soal angka, tetapi juga cara memahami hubungan antarvariabel—misalnya, bagaimana perubahan entalpi, tekanan, atau temperatur saling berkaitan dalam menentukan nilai efisiensi.
Langkah berikutnya, saya ingin memahami hubungan efisiensi dengan siklus Brayton, terutama mengenai pengaruh rasio tekanan (pressure ratio) dan temperatur maksimum (TIT – Turbine Inlet Temperature). Hal ini penting karena Brayton adalah dasar teoritis dari turbin gas, dan dua parameter ini sering disebut sebagai faktor kunci dalam literatur. Dengan menanyakan secara spesifik, saya berharap AI tidak hanya menjelaskan siklus secara umum, tetapi juga menyoroti keterkaitan langsung antara teori termodinamika dan efisiensi nyata di lapangan.
Terakhir, saya melengkapi prompt dengan permintaan penjelasan mengenai faktor-faktor utama yang memengaruhi efisiensi turbin gas. Saya tidak ingin hanya berhenti di teori ideal, tetapi juga melihat bagaimana kondisi nyata seperti performa kompresor, sistem pendinginan bilah turbin, ketahanan material, serta berbagai bentuk kerugian energi (losses) memengaruhi efisiensi aktual. Dengan begitu, saya mendapatkan gambaran yang lebih realistis: ada perbedaan antara efisiensi ideal di atas kertas dengan efisiensi aktual yang dipengaruhi oleh berbagai keterbatasan teknis.
Menyusun prompt ini membuat saya sadar bahwa proses bertanya ke AI tidak berbeda jauh dengan mempersiapkan pertanyaan ujian, diskusi kelas, atau bahkan outline penelitian. Saya harus mengatur urutan, lingkup, dan kedalaman informasi dengan hati-hati. Jika pertanyaan saya terlalu sempit, jawaban yang muncul mungkin dangkal. Sebaliknya, jika pertanyaan saya terlalu luas tanpa arah, jawabannya bisa melebar tanpa fokus. Oleh karena itu, menyusun prompt menjadi semacam latihan berpikir kritis: saya belajar menyaring apa yang benar-benar ingin saya ketahui, menempatkan urutan logis dari dasar hingga lanjut, lalu memastikan ada keseimbangan antara teori, perhitungan matematis, dan aplikasi praktis.
RESPON AI DAI5
Jawaban AI DAI5 cukup komprehensif. Pertama, ia menjelaskan bahwa efisiensi umum berarti perbandingan energi output terhadap energi input, sedangkan efisiensi termodinamika memperhitungkan semua kerugian energi sehingga lebih realistis.
Lalu, AI memaparkan empat jenis efisiensi turbin gas:
- Efisiensi termal (ηₜ): didefinisikan sebagai rasio kerja bersih terhadap panas masuk dengan rumus:

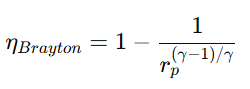
AI juga menghubungkannya dengan siklus Brayton dan menunjukkan bahwa efisiensi meningkat seiring rasio tekanan, sesuai persamaan:

- Efisiensi isentropik (ηᵢₛ): digunakan untuk menilai kinerja aktual dibandingkan proses ideal. Misalnya, pada turbin:

di mana hhh adalah entalpi.
- Efisiensi mekanik (ηₘ): mengukur seberapa besar daya fluida yang sampai ke poros setelah memperhitungkan gesekan dan kerugian mekanis:

- Efisiensi keseluruhan (η₀): merupakan kombinasi dari semua efisiensi sebelumnya, biasanya dihitung:

Selain itu, AI menjelaskan faktor-faktor yang memengaruhi efisiensi, antara lain:
- Temperatur masuk turbin (TIT): semakin tinggi TIT, efisiensi meningkat, tetapi dibatasi kemampuan material.
- Rasio tekanan: peningkatan rasio tekanan menaikkan efisiensi termal hingga batas optimum.
- Efisiensi kompresor: kompresor yang boros energi akan menurunkan efisiensi siklus secara drastis.
- Pendinginan bilah turbin: menjaga material tetap aman, tetapi menurunkan efisiensi efektif karena sebagian udara dialihkan untuk pendinginan.
- Material dan desain: paduan nikel dan material keramik modern mampu menahan temperatur tinggi sehingga efisiensi bisa lebih baik.
- Kerugian energi: gesekan, kebocoran, dan irreversibilitas tetap menjadi faktor penting yang menurunkan performa nyata.
Menurut saya, AI tidak hanya menyajikan teori, tetapi juga analisis kritis. Ia menekankan adanya kompromi: menaikkan temperatur dan rasio tekanan memang meningkatkan efisiensi, tetapi ada batas optimum karena keterbatasan material dan risiko kerugian tambahan.
REFLEKSI & ANALISIS
Pertama, saya memahami bahwa efisiensi pada turbin gas bukanlah sekadar angka statis yang ditampilkan dalam persen, melainkan representasi dari sebuah kompromi teknis yang sangat kompleks. Di balik angka itu ada interaksi antara prinsip termodinamika, batas material akibat temperatur tinggi, serta kerugian mekanis akibat gesekan, kebocoran, dan irreversibilitas. Dengan kata lain, angka efisiensi mencerminkan keterbatasan sekaligus kecerdikan manusia dalam merancang mesin yang harus bekerja di kondisi ekstrem.
Kedua, saya semakin sadar bahwa kualitas prompting sangat menentukan keluasan dan kedalaman jawaban AI. Jika saya hanya bertanya secara umum, jawaban yang muncul pun cenderung dangkal. Namun ketika saya menyusun prompt secara sistematis—dimulai dari definisi, rumus matematis, hingga faktor praktis—AI mampu memberikan uraian yang lebih menyeluruh dan relevan. Di sini saya melihat bahwa prompt bukan hanya instruksi teknis, tetapi juga cermin dari pola pikir saya sendiri. Semakin kritis dan terarah pola pikir saya, semakin baik pula jawaban yang saya dapatkan.
Ketiga, pengalaman ini sejalan dengan kerangka DAI5 (Deep Awareness of I, Intention, Initial Thinking, Idealization, Instruction Set) yang dapat saya refleksikan sebagai berikut:
- Deep Awareness of I
Saya belajar dengan kesadaran penuh bahwa topik efisiensi turbin gas bukan sekadar teori kuliah, melainkan ilmu terapan yang menyentuh langsung isu energi global dan keberlanjutan. Efisiensi yang rendah berarti pemborosan sumber daya dan peningkatan emisi, sedangkan efisiensi yang tinggi berarti langkah nyata menuju energi yang lebih bersih. Kesadaran ini membuat saya melihat materi bukan hanya untuk memenuhi nilai akademis, tetapi juga sebagai bekal memahami tantangan nyata di bidang teknik energi. - Intention
Niat saya jelas sejak awal, yaitu memahami secara mendalam, bukan hanya sekadar menyelesaikan tugas. Saya ingin bisa menghubungkan teori dasar seperti siklus Brayton dengan masalah praktis seperti keterbatasan material pada TIT (Turbine Inlet Temperature). Dengan niat ini, setiap pertanyaan yang saya ajukan kepada AI menjadi lebih terarah: saya tidak mencari jawaban instan, melainkan membangun pemahaman bertahap yang bisa saya gunakan dalam konteks akademik maupun profesional. - Initial Thinking
Sebelum menyusun prompt, saya melakukan identifikasi terhadap aspek-aspek penting yang ingin dipelajari. Misalnya, saya menyadari bahwa rasio tekanan dan temperatur masuk turbin adalah dua faktor kunci dalam efisiensi siklus Brayton. Saya juga menimbang bahwa efisiensi tidak tunggal, melainkan terdiri atas termal, isentropik, mekanik, dan keseluruhan. Tahap pemikiran awal ini penting, karena membantu saya menyaring materi yang luas agar tetap fokus pada hal yang esensial. - Idealization
Setelah memilah informasi yang saya butuhkan, saya menyusunnya dalam bentuk prompt yang ideal dan sistematis. Saya menata urutan dari yang paling mendasar (definisi efisiensi secara umum) ke yang lebih rinci (rumus matematis dalam LaTeX), lalu masuk ke level aplikatif (hubungan dengan siklus Brayton dan faktor praktis seperti sistem pendinginan). Proses idealisasi ini serupa dengan menyusun kerangka esai atau rancangan penelitian, di mana urutan dan keterhubungan ide menjadi penentu alur berpikir yang logis. - Instruction Set
Pada akhirnya, jawaban AI berperan sebagai instruction set—sebuah panduan belajar yang sistematis. Alih-alih hanya menyalin jawaban, saya menjadikannya peta konsep yang dapat saya ikuti langkah demi langkah. Misalnya, dari definisi efisiensi saya bergerak ke rumus, dari rumus ke siklus Brayton, dari sana ke faktor praktis, hingga akhirnya sampai pada pemahaman menyeluruh tentang tantangan desain turbin gas. Instruction set ini membantu saya menata pembelajaran layaknya seorang insinyur yang menghadapi masalah nyata.
Melalui refleksi berbasis DAI5 ini, saya semakin yakin bahwa interaksi dengan AI bukanlah sekadar aktivitas pasif menerima informasi, tetapi sebuah proses belajar aktif yang menuntut kesadaran, niat yang benar, analisis awal, penyusunan kerangka ideal, dan akhirnya penerapan jawaban sebagai panduan belajar. Dengan pola pikir seperti ini, AI benar-benar dapat menjadi mitra intelektual dalam memperdalam konsep efisiensi turbin gas maupun materi teknik lainnya.
RELEVANSI EFISIENSI TURBIN GAS DALAM SISTEM ENERGI
Konsep efisiensi turbin gas memiliki relevansi yang sangat besar dalam konteks sistem energi global masa kini. Efisiensi tinggi bukan sekadar persoalan teknis, melainkan menyangkut ekonomi energi, keberlanjutan lingkungan, dan ketahanan energi nasional.
Secara praktis, efisiensi yang lebih baik berarti penggunaan bahan bakar yang lebih hemat, emisi CO₂ yang lebih rendah, serta umur operasi turbin yang lebih panjang karena kerja mesin lebih optimal. Misalnya, pada pembangkit listrik tenaga gas, peningkatan efisiensi termal dari 35% menjadi 40% tidak hanya sekadar angka. Peningkatan 5% itu dapat berarti penghematan bahan bakar senilai jutaan dolar per tahun, serta pengurangan emisi karbon dalam skala signifikan yang mendukung agenda global untuk transisi energi bersih.
Selain dampak ekonomis dan ekologis, pemahaman tentang efisiensi juga menjadi kunci dalam inovasi teknologi. Berbagai pengembangan mutakhir dalam turbin gas, seperti turbine cooling advanced untuk mengatasi keterbatasan material akibat temperatur tinggi, penggunaan superalloy atau bahkan ceramic matrix composites untuk meningkatkan ketahanan termal, hingga sistem combined cycle (CCGT) yang memanfaatkan limbah panas turbin gas untuk menggerakkan turbin uap, semuanya lahir dari upaya meningkatkan efisiensi. Dengan kata lain, setiap lompatan teknologi dalam turbin gas selalu berakar pada pencarian efisiensi yang lebih tinggi.
IMPLIKASI UNTUK PEMBELAJARAN KE DEPAN
Pengalaman belajar ini memberi saya pelajaran berharga: belajar melalui prompting kepada AI bukan sekadar soal mencari jawaban cepat, tetapi juga sarana untuk melatih cara berpikir kritis, analitis, dan sistematis. Proses menyusun pertanyaan yang jelas ternyata sama pentingnya dengan jawaban yang diperoleh.
Ke depan, saya ingin terus menggunakan kerangka DAI5 dalam mempelajari berbagai topik energi lain, misalnya turbin uap, sistem hibrida, atau teknologi pembangkit berbasis energi terbarukan. Kerangka ini membantu menjaga konsistensi cara belajar saya:
- Dengan Deep Awareness, saya menyadari bahwa setiap topik energi memiliki relevansi nyata terhadap tantangan global.
- Dengan Intention, saya menetapkan tujuan yang jelas, sehingga belajar tidak terjebak pada hafalan, tetapi membangun pemahaman mendalam.
- Dengan Initial Thinking, saya memetakan aspek-aspek utama yang perlu saya fokuskan sebelum bertanya.
- Dengan Idealization, saya menyusun kerangka pertanyaan atau prompt yang logis dan sistematis.
- Dengan Instruction Set, saya memanfaatkan jawaban AI bukan sebagai akhir, tetapi sebagai peta langkah-langkah belajar yang bisa saya ikuti secara bertahap.
Dengan pola ini, saya merasa proses belajar menjadi lebih terarah, bermakna, dan mendekati cara seorang insinyur menganalisis sistem energi nyata.
PENUTUP
Melalui prompting tentang efisiensi turbin gas bersama AI DAI5, saya memperoleh pemahaman yang lebih komprehensif—dimulai dari konsep dasar efisiensi, perannya dalam siklus Brayton, hingga faktor nyata yang membatasi performa turbin, seperti keterbatasan material, sistem pendinginan, dan kerugian energi.
Lebih dari sekadar pengetahuan teknis, saya belajar bahwa kualitas pertanyaan sangat menentukan kualitas jawaban. AI DAI5 bagi saya bukan hanya mesin penjawab, melainkan mitra belajar yang mampu memperluas wawasan teknis sekaligus mengasah kemampuan berpikir analitis dan reflektif.
Saya berharap pengalaman ini bermanfaat, khususnya bagi teman-teman yang juga sedang mendalami bidang Sistem Konversi Energi dalam teknik mesin. Dengan pendekatan belajar yang kritis, sistematis, dan terarah, kita dapat memanfaatkan AI bukan hanya untuk menjawab soal, tetapi juga untuk menjadi sarana eksplorasi ilmiah yang memperkaya pemahaman kita tentang dunia energi.