ccitonline.com

CCIT – Cara Cerdas Ingat Tuhan

| AI-DAI5 | CFDSOF | VisualFOAM | 8N8 | DAI5 eBook Free Download |

Analisis Finite Element Method (FEM) untuk Menghitung Gaya Hambat pada Kabin Scania R660 V8 Menggunakan Software Autodesk CFD dengan Framework DAI5 | Achmad Hussein Alphariandi 2306215066 | Metode Numerik-02

Assalamuโ€™alaikum Warrohmatullahi Wabarokatuh, Pak DAI dan teman-teman semua yang membaca blog saya.

Truk merupakan sebuah moda transportasi yang sangat berperan penting terhadap kegiatan ekonomi. Truk berfungsi untuk mengangkut barang dalam jumlah besar sehingga bertanggung jawab atas distribusi barang dalam skala regional hingga nasional. Namun, di balik fungsinya yang vital, truk memiliki beberapa kendala, salah satunya adalah konsumsi bahan bakar yang tinggi, terutama ketika beroperasi pada kecepatan tinggi di jalan tol. Salah satu faktor yang mempengaruhi konsumsi bahan bakar truk ini adalah hambatan aerodinamika.

ย ย ย ย ย ย ย ย ย ย ย  Kabin truk memiliki pengaruh yang cukup besar terhadap aerodinamika suatu truk. Hal ini disebabkan kabin truk adalah bagian terdepan yang berinteraksi secara langsung dengan aliran udara. Bentuk kabin yang kurang optimal secara aerodinamis akan menimbulkan turbulensi dan tekanan negatif yang memperbesar gaya hambat. Dampaknya, mesin akan bekerja lebih keras untuk menahan gaya hambat yang dialami oleh truk, dalam arti lain mesin akan mengonsumsi bahan bakar lebih banyak.

ย ย ย ย ย ย ย ย ย ย ย  Oleh karena itu, pada artikel ini, saya akan melakukan analisis aerodinamika pada kabin truk komersial. Di sini saya akan memodelkan kabin Scania R660 dan melakukan simulasi CFD padanya. Semua hal yang saya lakukan di sini adalah berdasarkan Framework DAI5:

  1. Deep Awareness of I

    Setiap proses keilmuan dalam bidang rekayasa harus selalu diawali dengan kesadaran mendalam atas tujuan penciptaan manusia dan alam semesta oleh Tuhan Yang Maha Esa. Sebagai mahasiswa teknik mesin dand, saya menyadari bahwa setiap fenomena fisika, termasuk aliran udara dan gaya hambat, merupakan bagian dari hukum-hukum yang ditetapkan oleh Sang Pencipta yang diciptakan secara presisi dan sempurna. Pengamatan terhadap perilaku aliran fluida bukan sekadar tugas akademik, melainkan bentuk syukur atas akal dan ilmu yang diamanahkan, serta upaya untuk meneladani keindahan tatanan ciptaan-Nya.

    2. Intention

    Sebagai mahasiswa teknik mesin, tujuan utama dari analisis ini bukan hanya sekadar untuk menghasilkan simulasi teknis yang akurat, tetapi juga untuk memberi kontribusi positif bagi teknologi efisiensi energi dan pengurangan dampak lingkungan dari kendaraan berat. Niat ini diarahkan untuk mengembangkan solusi rekayasa yang lebih ramah lingkungan dan berkelanjutan, sejalan dengan tanggung jawab kita sebagai manusia untuk menjaga bumi. Dengan meneliti aerodinamika kabin truk Scania R660, saya berniat memperluas pemahaman terhadap bagaimana bentuk geometri kendaraan dapat memengaruhi konsumsi bahan bakar dan emisi gas buang. Selain itu, agar studi ini bisa menjadi inspirasi atau pemantik bagi orang lain untuk melakukan studi lebih lanjut mengenai permasalahan ini. Keseluruhan proses ini diupayakan dapat menjadi manfaat bagi masyarakat dan industri transportasi.

    3. Initial Thinking

    Permasalahan utama yang dianalisis dalam studi ini adalah tingginya gaya hambat yang dialami kendaraan berat seperti truk saat melaju dalam kecepatan tinggi. Gaya hambat ini berkontribusi signifikan terhadap konsumsi bahan bakar dan performa kendaraan, sehingga berdampak pada emisi karbon di atmosfer. Saya mengidentifikasi bahwa bentuk permukaan depan kabin truk memiliki pengaruh besar terhadap gaya hambat yang dialami oleh truk. Oleh karena itu, evaluasi terhadap geometri kabin menjadi langkah kunci dalam mengoptimalkan efisiensi aerodinamika secara keseluruhan. Di sini saya mengambil contoh truk Scania R660 untuk dijadikan objek analisis.

    Di sini konsep yang saya gunakan adalah gaya hambat:

    Jenis Fluida yang digunakan pada simulasi ini adalah udara dengan kecepatan 90 km/jam. Kecepatan ini menyesuaikan dengan kecepatan maksimal truk yang biasanya dibatasi secara elektronik.

    4. Idealization

    Dalam tahapan ini, saya melakukan pemodelan geometri kabin Scania R660 dalam bentuk digital untuk keperluan simulasi. Di sini saya menggunakan software Autodesk CFD. Asumsi ideal seperti kondisi aliran steady, inkompresibel, dan simetri aliran digunakan untuk menyederhanakan kompleksitas fisik agar dapat dianalisis secara numerik. Meskipun disederhanakan, model ini tetap mempertahankan aspek-aspek penting dari kenyataan, seperti skala dimensi, kecepatan angin, dan kondisi batas yang representatif, agar hasil simulasi tetap relevan dan dapat diinterpretasikan secara praktis.

    5. Instruction Set

    Proses implementasi dilakukan melalui serangkaian langkah sistematis dalam simulasi numerik menggunakan metode Finite Element Method (FEM). Tahapan dimulai dari pembuatan model 3D kabin Scania R660, disusul dengan penentuan mesh, penerapan kondisi batas, penentuan properti fluida, hingga penyelesaian solusi numerik untuk mendapatkan distribusi tekanan dan vektor kecepatan aliran. Hasil simulasi dianalisis untuk mengidentifikasi area-area dengan tekanan tinggi dan rendah, serta pembentukan wake di belakang kabin yang menjadi sumber utama drag. Berdasarkan interpretasi ini, dilakukan evaluasi dan perumusan rekomendasi desain.

    Setelah melakukan idealisasi dan membuat asumsi-asumsi untuk melakukan simulasi, saya menjalankan simulasi sebanya 250 iterasi dan mendapatkan hal berikut:

    Serta sebuah file csv yang merupakan data numerik dari simulasi ini.

    Dari file ini saya membuat ulang grafik:

    Tekanan pada awal terlihat melonjak karena ada titik stagnasi akibat fluida menabrak bagian depan kabin. Sedangkan, kecepatan naik perlahan setelah mengalami penurunan akibat menabrak kabin truk.

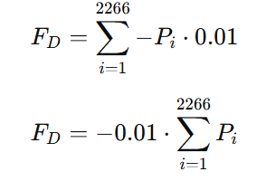
    Saya akan menghitung drag force yang dialami oleh truk berdasarkan data-data hasil simulasi tersebut.

    aliran pada sumbu-x positif. Luas mesh 0.01 m2

    Maka:

    Hitung gaya hambat:

    Karena gaya berarah negatif: