بِسْــــــــــــــــــمِ اﷲِالرَّحْمَنِ اارَّحِيم
السَّلاَمُ عَلَيْكُمْ وَرَحْمَةُ اللهِ وَبَرَكَاتُهُ
Latar Belakang Penelitian
Dalam operasi tempur jarak jauh maupun misi patroli udara, ketahanan terbang (endurance) menjadi faktor vital bagi pesawat tempur. Salah satu solusi teknis yang umum digunakan untuk meningkatkan jarak tempuh pesawat adalah penambahan tangki bahan bakar eksternal atau drop tank. Meskipun extra fuel tank memberikan kapasitas bahan bakar tambahan, keberadaannya juga menimbulkan peningkatan hambatan aerodinamis (drag) yang dapat mempengaruhi kecepatan, manuverabilitas, serta efisiensi bahan bakar pesawat secara keseluruhan.
Oleh karena itu, diperlukan kajian mendalam mengenai pengaruh aerodinamika dari extra fuel tank terhadap performa pesawat secara menyeluruh. Dalam hal ini, pendekatan simulasi menggunakan Finite Element Method (FEM) dan Computational Fluid Dynamics (CFD) menjadi metode yang efektif untuk memahami distribusi kecepatan aliran udara, tekanan, serta potensi drag yang dihasilkan oleh konfigurasi geometri extra fuel tank pada badan pesawat jet tempur.
Hal ini tidak hanya penting dari sisi teknis perancangan, tetapi juga memberikan kontribusi terhadap efisiensi proses produksi, pengurangan konsumsi bahan bakar, serta optimalisasi desain komponen pesawat yang mendukung performa tempur sekaligus efektivitas logistik dan operasional.

Pembahasan Berlandaskan Framework DAI5:
1. Deep Awareness of I (Kesadaran Mendalam tentang Diri)
Sebelum terjun ke rumitnya simulasi CFD dan perhitungan numerik, penting bagi peneliti untuk menyadari hakikat keberadaannya sebagai hamba, serta merendahkan diri di hadapan Allah, Sang Pencipta segala hukum alam—termasuk hukum fluida dan mekanika.
Hukum Bernoulli, Navier-Stokes, hingga konvergensi numerik, semua adalah manifestasi sunnatullah. Maka, penelitian ini menjadi bentuk tadabbur—mengamati ciptaan-Nya dengan harapan memetik hikmah dan manfaat bagi umat manusia, seperti efisiensi energi dan desain rekayasa yang lebih bijak.
2. Intention (Niat)
Penelitian ini dilandasi oleh niat untuk:
- Mengoptimalkan desain aerodinamika extra fuel tank pesawat agar efisien dan stabil.
- Mengurangi hambatan (drag) demi konsumsi bahan bakar yang lebih hemat.
- Meningkatkan kesadaran teknisi & engineer terhadap pentingnya harmoni antara desain teknologi dan keteraturan alam.
Dengan niat ini, simulasi bukan sekadar mencari hasil, tetapi menjadi ibadah teknis yang mendekatkan manusia kepada ilmu dan kepada Tuhan.
3. Initial Thinking
Masalah utama yang ingin dianalisis adalah Bagaimana karakter aliran udara (velocity distribution dan vorteks) terbentuk di sekitar geometri extra fuel tank, dan seberapa besar pengaruh bentuk ini terhadap drag?
Gambar menunjukkan streamline & vortisitas di sekitar bodi, dengan bagian biru (laju rendah) di belakang menandakan zona wake (buntut turbulensi) yang menyebabkan drag parasit meningkat.
Poin penting dalam pemikiran awal:
- Geometri menimbulkan zona separasi dan formasi vorteks di bagian belakang.
- Bentuk sirip ekor menghasilkan turbulensi dan tekanan belakang yang signifikan.
- Aliran di sisi atas dan bawah menunjukkan gradien kecepatan tinggi → penting dalam estimasi tekanan dinamis.
4. Idealization
- Steady-state.
- Incompressible flow (karena kecepatan subsonik, < 0.3 Mach).
- Newtonian fluid (udara dianggap viskositas konstan).
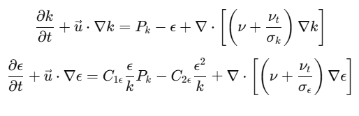
- Menggunakan RANS (Reynolds-Averaged Navier-Stokes) + model turbulensi (k-ε atau k-ω SST).
- Mesh disusun fine di dekat permukaan (boundary layer) → mengatasi gradien tinggi di dinding.
5. Instruction Set
Metode Numerik: Finite Volume Method (FVM)
Governing Equations
Continunity (Konservasi Masa):

Navier-Stokes:

Metode Numerik (FVM) di STAR-CCM+
FVM bekerja dengan melakukan integrasi volume kontrol terhadap persamaan di atas:
- Discretization:
- Domain dibagi menjadi banyak cell (kontrol volume)
- Integral divergensi dikonversi menjadi jumlah fluks di permukaan
- General form discretized equation:
- Temporal discretization (karena steady-state → hanya spatial discretization diperlukan).

- Iterasi numerik:
- Algoritma segregated (pressure-based solver)
- SIMPLE (Semi-Implicit Method for Pressure-Linked Equations) digunakan untuk coupling tekanan–Keewatin.
Model Turbulensi: k-ε Standard / k-ω SST
Model ini memecah vektor kecepatan menjadi:

Lalu digunakan Reynolds Averaged Navier-Stokes (RANS) yang mengintroduksi Reynolds stress.
Model k-ε menyelesaikan:
- Persamaan energi turbulen (k)
- Persamaan dissipation rate (ε)


Hasil Simulasi
- Zona biru di belakang bodi: wake region → tekanan rendah, drag tinggi.
- Streamline spiral: indikasi vortisitas tinggi, menghasilkan energy loss.
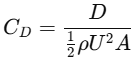
- Drag coefficient dapat dihitung otomatis dari integrasi gaya pada permukaan:

Kesimpulan
- Simulasi CFD dengan metode Finite Volume Method (FVM) berhasil memetakan perilaku aliran udara di sekitar bentuk drop tank, termasuk zona wake, separasi aliran, dan formasi vortisitas yang signifikan di bagian belakang geometri.
- Penambahan tangki bahan bakar eksternal menyebabkan kenaikan drag, yang ditunjukkan oleh area tekanan rendah dan turbulensi pada aliran belakang. Hal ini dapat berdampak negatif terhadap efisiensi bahan bakar serta performa terbang jet tempur seperti SU-34.
- Penggunaan model turbulensi RANS (k-ε atau k-ω SST) memungkinkan perhitungan numerik yang stabil dan mendekati kondisi nyata, dengan mempertimbangkan fluktuasi aliran yang kompleks.
- Melalui pendekatan DAI5, proses teknis ini tidak hanya dilihat sebagai perhitungan ilmiah, tetapi juga sebagai sarana penyadaran diri, niat yang lurus, dan bentuk pengabdian terhadap hukum alam ciptaan Allah.
Allah Subhanahu Wata’ala berfirman:
“Dan Dia telah menundukkan untukmu apa yang di langit dan apa yang di bumi semuanya, (sebagai rahmat) dari-Nya. Sesungguhnya pada yang demikian itu benar-benar terdapat tanda-tanda (kebesaran Allah) bagi kaum yang berpikir.”
— QS. Al-Jatsiyah: 13
Ayat ini menjadi pengingat bahwa segala fenomena alam—termasuk dinamika fluida, tekanan, dan aliran udara—adalah bagian dari ciptaan Allah yang ditundukkan untuk kita pelajari dan manfaatkan. Maka, tugas seorang engineer bukan sekadar menciptakan solusi teknis, tapi juga menjaga keselarasan dengan hukum Tuhan dalam setiap rancangan dan keputusan.