- Biodata Penulis
Nama lengkap: Najla Fatin
NPM: 2306265530
- Afiliasi Penulis
Departemen Teknik Mesin, Universitas Indonesia
- Abstrak
Pada makalah ini, penulis menyajikan kaidah-kaidah serta prosedur dalam perancangan poros mekanik. Poros mekanik merupakan salah satu elemen penting dalam sistem mesin yang berfungsi untuk mentransmisikan daya dan gerakan dari satu komponen ke komponen lainnya. Dalam perancangan poros, prinsip dasar mekanika kekuatan material dan rotasi menjadi landasan utama. Makalah ini dirancang berdasarkan kerangka berpikir DAI5: deep awareness of I, intention, initial thinking, idealization, dan instruction set, sehingga diharapkan dapat memberi panduan sistematis dalam merancang poros yang andal dan efektif.
- Deklarasi Penulis
- Deep Awareness of I
Sebagai makhluk ciptaan Tuhan, saya menyadari bahwa kemampuan yang diberikan kepada manusia adalah anugerah yang harus digunakan untuk memberi manfaat bagi sesama. Saya berusaha untuk mengaplikasikan pengetahuan ini dalam dunia nyata dengan merancang komponen mesin, seperti poros mekanik, untuk mendukung keberlangsungan sistem industri dan kehidupan sehari-hari.
- Niat kegiatan proyek
Penulis bermaksud untuk berbagi ilmu tentang prinsip-prinsip dasar dalam perancangan poros mekanik dalam proyek ini, dengan harapan dapat bermanfaat bagi mahasiswa teknik, praktisi industri, serta siapa saja yang membutuhkan pemahaman tentang desain elemen mesin ini.
- Pendahuluan

Gambar 1: Beberapa jenis poros mekanik (shaft)
Poros mekanik (mechanical shaft) merupakan elemen struktural berbentuk silinder yang digunakan untuk mentransmisikan energi berupa torsi dan gerakan rotasi. Komponen ini menjadi penghubung antara sumber tenaga dan beban yang digerakkan. Karena fungsinya yang krusial, poros harus dirancang untuk menahan beban seperti torsi, momen lentur, gaya aksial, serta beban siklik (dynamic load) akibat perubahan beban selama operasi.
Material umum untuk poros biasanya berupa logam seperti baja karbon dan paduan, atau material komposit tertentu yang telah dipilih berdasarkan kekuatan, ketahanan aus, dan keuletannya.
- Pemikiran awal
Dalam proses perancangan poros mekanik, terdapat beberapa faktor penting yang perlu diperhatikan, diantaranya:
- Jenis beban: Terdapat beberapa jenis beban pada poros seperti torsi yang menyebabkan twisting, bending moment yang menyebabkan pelenturan, ataupun kombinasi keduanya. Besar beban tersebut harus diidentifikasi dan dihitung secara akurat.

Gambar 2: Bukaan pintu air, yang mana hanya menerima beban torsi saja

Gambar 3: Roda kereta, yang mana hanya menerima beban lentur saja jika diasumsikan tak ada gesekan pada bantalan luncurnya
- Material poros: Pemilihan material mempengaruhi kekuatan, keuletan, ketahanan terhadap korosi dan keausan.
- Kondisi operasi: Termasuk kecepatan rotasi, fluktuasi beban, lingkungan operasi (temperatur, korosi).
- Faktor keamanan (safety factor): Perlu diperhitungkan untuk mengantisipasi ketidakpastian dalam beban operasional.
- Dimensi poros: Diameter, panjang, serta bentuk geometri (misal penambahan alur atau pasak) harus mempertimbangkan besar beban totalnya serta distribusi tegangan.
- Fatigue life: Umur kelelahan akibat beban siklik perlu diprediksi untuk mencegah kegagalan prematur.
- Metode dan Langkah-Langkah Solusi
- Idealisasi
Dalam perancangan poros, penulis mempertimbangkan faktor-faktor yang telah disebutkan pada bagian rumusan masalah. Tujuannya adalah untuk merancang poros yang kuat, tahan lama, serta efisien dalam mentransmisikan daya sesuai kebutuhan aplikasi.
- Instruksi (set)
Langkah-langkah dalam perancangan poros mekanik adalah sebagai berikut:
- Identifikasi kebutuhan: Tentukan fungsi poros dalam sistem serta karakteristik beban yang bekerja padanya (torsi, lentur, aksial).
- Menghitung beban torsi: Torsi yang diaplikasikan pada poros pada daya dan laju putaran tertentu dapat dihitung menggunakan persamaan berikut:

- Menghitung beban lentur: Momen lentur dihasilkan dari beban lateral sepanjang poros. Sehingga, momen lentur pada poros dapat dihitung sebagai berikut:

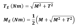
- Menentukan equivalent load: Berdasarkan hasil perhitungan besar momen lentur dan torsi, beban total atau equivalent load dapat ditentukan sebagai berikut:

- Pilih material poros: Berdasarkan data kekuatan tarik, kekuatan lelah, ketahanan aus, dan kondisi lingkungan operasi.
- Tentukan faktor keamanan: Pilih faktor keamanan yang sesuai dengan standar industri, biasanya antara 1.5 hingga 3, tergantung konsekuensi kegagalan.
- Hitung diameter awal poros: Berdasarkan persamaan torsi dan momen lentur, dengan memperhitungkan kekuatan material dan faktor keamanan, diameter minimal dari poros dapat ditentukan dengan persamaan berikut:

- Desain detil: Pertimbangkan desain alur (keyway), lubang, penambahan snap ring, ulir, atau fitur lainnya yang dapat menimbulkan konsentrasi tegangan.
- Analisis fatigue: Gunakan pendekatan Goodman, Soderberg, atau Gerber untuk mengevaluasi ketahanan poros terhadap beban siklik. Perhitungan beban pada poros ketika beban dinamis menjadi pertimbangan adalah sebagai berikut:

- Simulasi menggunakan perangkat lunak: Gunakan software seperti SolidWorks Simulation, ANSYS, atau Autodesk Inventor untuk mensimulasikan tegangan dan deformasi.
- Optimasi desain: Lakukan iterasi desain untuk mengurangi berat tanpa mengurangi kekuatan, serta mempertimbangkan efisiensi manufaktur.
- Pilih metode produksi: Tentukan metode manufaktur (misal forging, machining) yang sesuai dengan spesifikasi desain dan jumlah produksi.
- Perencanaan inspeksi dan pengujian: Rencanakan pengujian non-destruktif (NDT) atau destructive testing untuk memastikan kualitas produk akhir.
- Implementasi dan pemasangan: Lakukan pemasangan poros pada sistem dengan mengikuti standar pemasangan untuk menjaga akurasi dan ketahanan.
- Kesimpulan
Dari makalah ini, dapat diambil beberapa kesimpulan:
- Poros mekanik merupakan komponen vital dalam sistem transmisi daya yang harus dirancang dengan cermat berdasarkan analisis beban, material, serta kondisi operasi.
- Prinsip dasar mekanika bahan, dinamika rotasi, dan kelelahan material menjadi aspek utama dalam mendukung keandalan desain poros.
- Perancangan poros tidak hanya memperhatikan kekuatan mekanik internal, namun juga harus mempertimbangkan kondisi eksternal seperti lingkungan operasi, fluktuasi beban, serta kebutuhan maintenance.
- Ucapan Terima Kasih
Saya, sebagai penulis makalah ini, mengucapkan terima kasih kepada:
- Allah SWT, Tuhan Yang Maha Esa, atas segala nikmat akal dan kesehatan yang diberikan, sehingga saya dapat memahami konsep-konsep dasar teknik mesin dengan baik.
- Kedua orangtua saya, atas segala doa, dukungan, serta motivasi yang senantiasa mereka berikan.
- Bapak Dr. Ahmad Indra, dosen Metode Numerik di Teknik Mesin Universitas Indonesia, yang telah membimbing serta memberi ilmu yang menjadi dasar kuat dalam penyusunan makalah ini.
- Referensi
- Adira (2024). Understanding Machine Shafts: A Comprehensive Guide to Shaft Design in Mechanical Engineering. Essengold Metalworks. https://essengoldparts.com/blog/shaft-in-machine/
- Moving train bogie wheelsets with Electrodrive’s Wheelset Mover. Electrodrive. https://www.electrodrive.com.au/products/wheelset-mover.aspx
- Understanding Shafts: Types, Materials, and Applications. Wayken. https://waykenrm.com/blogs/what-is-a-shaft/