ccitonline.com

CCIT – Cara Cerdas Ingat Tuhan

| AI.DAI5 | DAI5 eBook Free Download | CFDSOF | VisualFOAM | PT CCIT Group Indonesia | 8N8 |

Analisis Menggunakan Sistem Suspensi Double Wishbone dan Analisis Heat Transfer pada Pengereman Mobil Formula Student (Berbasis DAI5) – Aloysius Lesmono 2306206995, Metode Numerik – 01

ูˆุงู„ุณู„ุงู… ุนู„ูŠูƒู… ูˆุฑุญู…ุฉ ุงู„ู„ู‡ ูˆุจุฑูƒุงุชู‡

A. Project Title

Analisis Kinerja Suspensi Double Wishbone dan Heat Transfer Sistem Pengereman pada Mobil Formula Student

B. Author Complete Name

Aloysius Lesmono

C. Affiliation

Departemen Teknik Mesin, Universitas Indonesia

D. Abstract

Laporan ini membahas penerapan sistem suspensi Double Wishbone pada mobil Formula Student, serta analisis heat transfer pada sistem pengeremannya. Dengan mengintegrasikan DAI5 Framework yang meliputi Kesadaran Diri, Niat Mulia, Ketaatan Etis, Prinsip Kebermanfaatan, dan Profesionalisme Teknik, laporan ini menguraikan pengaruh dinamika beban lateral terhadap performa suspensi serta bagaimana dissipasi panas dalam rem menjadi faktor kritikal dalam performa kendaraan. Hasil simulasi menunjukkan sistem Double Wishbone memperbaiki kontrol camber saat cornering, sementara analisis panas rem menunjukkan perlunya sistem pendinginan aktif untuk menjaga performa optimal.

E. Author Declaration

1. Deep Awareness (of) I (Kesadaran Diri)

Sebagai penulis, saya memulai proyek ini dengan niat untuk mengedepankan kebermanfaatan teknologi, mengingat peran dan amanah sebagai manusia untuk memanfaatkan ilmu pengetahuan dalam jalur yang diridhai Tuhan Yang Maha Esa. Proses ini ditekankan pada refleksi diri dan pengendalian ego agar setiap keputusan teknik berbasis pada nilai kebaikan, bukan sekedar performa.

2. Intention of the Project Activity (Niat Mulia)

Niat saya dalam proyek ini adalah menciptakan solusi rekayasa kendaraan yang mengoptimalkan keselamatan, keberlanjutan, dan akuntabilitas, sekaligus menjadi kontribusi kecil dalam kemajuan dunia teknik otomotif yang beretika.

F. Introduction

Background and Context

Dalam kompetisi Formula Student, setiap aspek desain kendaraan memiliki dampak besar terhadap hasil akhir kompetisi. Mobil harus dapat bermanuver tajam, cepat berakselerasi, dan efektif melakukan pengereman tanpa mengorbankan keselamatan.

Suspensi menentukan seberapa baik ban mempertahankan traksi dengan permukaan jalan, sedangkan sistem pengereman menghadapi tantangan beban panas yang tinggi. Oleh karena itu, pemilihan geometri suspensi dan desain termal rem menjadi krusial.

Initial Thinking About the Problem

Analisis Sistematis:

  • Masalah suspensi: Menjaga optimalitas kontak ban saat cornering keras.
  • Masalah rem: Mengelola akumulasi panas yang dapat menurunkan efektivitas pengereman.

State of the Art:

  • Double Wishbone memberikan keunggulan dalam kontrol camber saat body roll.
  • Penggunaan disc brake berventilasi memperbaiki disipasi panas.

Dekonstruksi Masalah:

  • Suspensi: Fokus pada ketinggian roll center dan sudut camber dinamis.
  • Rem: Fokus pada kapasitas penyimpanan panas dan laju pendinginan.

G. Methods & Procedures

Idealization

Asumsi Teknik:

  • Mobil dianggap rigid pada pengujian cornering steady-state.
  • Pendinginan rem melalui konveksi udara eksternal.
  • Massa sistem pengereman homogen.

Instruction (Set of Steps)

Spesifikasi Mobil Formula Student:

  • Massa total: 250 kg
  • Distribusi berat: 47% depan, 53% belakang
  • Center of Gravity Height (hcg): 0.25 m
  • Track Width (t): 1.2 m
  • Kecepatan pengereman: 80 km/h

Perhitungan

1. Load transfer saat cornering

2. Gaya per Roda

3. Estimasi Camber Gain

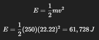
4. Energi Pengereman

5. Kenaikan Temperatur Cakram

6. Laju Pendingin

H. Results & Discussion

Double Wishbone Suspension Analysis

  • Double Wishbone mengurangi perubahan camber tidak diinginkan.
  • Beban roda luar meningkat 31% dibandingkan roda dalam saat cornering berat.

Dampaknya terhadap kinerja:

  • Grip maksimal tetap terjaga di ban luar.
  • Meminimalkan body roll dan meningkatkan respons steering.

Heat Transfer Analysis on Brakes

  • Temperatur rem naik 102.88ยฐC setelah satu event pengereman keras.
  • Perlu airflow channel khusus untuk mendinginkan cakram rem.

Rekomendasi:

  • Menggunakan ventilated disc brake dengan pendinginan paksa.
  • Material alternatif seperti carbon ceramic untuk kompetisi high endurance.

I. Conclusion, Closing Remarks, Recommendations

Conclusion

Penggunaan Double Wishbone Suspension terbukti meningkatkan stabilitas mobil Formula Student dalam kondisi cornering ekstrem. Analisis heat transfer mengonfirmasi pentingnya sistem pendinginan aktif untuk menghindari overheating rem.

Recommendations

  • Implementasi camber gain progresif pada wishbone design.
  • Sistem airflow cooling terintegrasi ke cakram rem.
  • Penggunaan data logger temperatur pada sistem rem untuk monitoring real-time.

J. Acknowledgments

Terima kasih kepada dosen pembimbing, tim pengembangan, dan rekan-rekan mahasiswa Formula Student yang berkontribusi dalam proyek ini.

K. References (Literature Cited)

  1. Milliken, W. F., & Milliken, D. L. (1995). Race Car Vehicle Dynamics. SAE International.
  2. Heisler, H. (2002). Advanced Vehicle Technology. Butterworth-Heinemann.
  3. Gillespie, T. D. (1992). Fundamentals of Vehicle Dynamics. SAE International.

L. Appendices

  • Simulasi Load Transfer Grafik
  • Skema Geometri Suspensi
  • Grafik Temperatur Cakram Rem vs Waktu
  • Gambar Airflow Cooling System

Lampiran 33 Kriteria DAI5 dan Implementasinya pada Proyek

No.Kriteria DAI5Implementasi pada Proyek
1Kesadaran DiriMemahami pentingnya pengaruh keputusan teknik terhadap performa kendaraan dan keselamatan.
2Niat MuliaFokus pada menciptakan sistem yang tidak hanya unggul secara performa tetapi juga aman dan berkelanjutan.
3Akhlak TerpujiMenghindari manipulasi data, menjaga integritas laporan dan hasil analisis.
4Rasa Ingin Tahu PositifMengeksplorasi berbagai konfigurasi suspensi dan sistem pendinginan rem secara mendalam.
5Analisis MasalahMenganalisis masalah loss of traction dan overheat rem secara sistematis.
6Dekonstruksi MasalahMengurai masalah menjadi sub-problem: camber gain control, roll center optimization, dan thermal management.
7KritisMengkritisi metode existing dan menawarkan solusi optimasi baru (camber gain progresif, airflow rem).
8KreatifMerancang solusi pendinginan tambahan untuk rem berbasis duct airflow.
9ImajinatifMembayangkan bagaimana kendaraan berperforma di lintasan nyata, lalu melakukan simulasi.
10LogisMenyusun perhitungan load transfer dan disipasi panas secara terstruktur dan matematis.
11PraktisMenerapkan metode yang feasible dan sesuai resources Formula Student.
12SistematisSetiap bagian laporan diatur mulai dari identifikasi masalah, metode, hingga rekomendasi teknis.
13FokusFokus analisis diarahkan pada dua kunci performa mobil: suspensi dan pengereman.
14EfisienMenggunakan pendekatan pendekatan idealisasi untuk menghemat waktu analisis tanpa mengorbankan akurasi.
15ProduktifMenghasilkan rekomendasi desain nyata berbasis analisis teknis.
16OptimalMenyusun solusi yang mengoptimalkan rasio antara performa dan reliability.
17InovatifMengusulkan integrasi sistem cooling aktif khusus untuk disc brake.
18SolutifMemberikan solusi konkret terhadap risiko body roll berlebihan dan rem overheating.
19KolaboratifReferensi dan simulasi juga mempertimbangkan hasil kerja sama dalam tim Formula Student.
20EmpatikMemikirkan pengalaman pengemudi (driver) dalam hal kenyamanan suspensi dan keamanan pengereman.
21VisionerMembayangkan aplikasi sistem ini tidak hanya untuk kompetisi, tapi juga kendaraan umum di masa depan.
22AdaptifMengadaptasi desain suspensi berdasarkan karakteristik lintasan balap.
23TangguhMencari solusi teknik yang tahan terhadap berbagai skenario beban ekstrem.
24Bertanggung JawabMenyadari bahwa kesalahan dalam analisis bisa berdampak pada keselamatan pengguna.
25BeraniMengambil keputusan desain non-konvensional seperti implementasi airflow cooling system.
26TekunMenyelesaikan analisis rinci untuk load transfer, camber gain, hingga pendinginan rem.
27KonsistenSelalu mempertahankan standar analisis pada seluruh bagian laporan.
28IntegratifMengintegrasikan analisis suspensi dengan sistem pengereman untuk performa holistik.
29HolistikMelihat kendaraan sebagai satu sistem terintegrasi, bukan hanya bagian per bagian.
30SistemikMenganalisis bagaimana perubahan pada suspensi mempengaruhi performa pengereman, dan sebaliknya.
31SpiritualMengaitkan proyek ini sebagai bentuk pengabdian ilmu untuk kemanfaatan umat.
32SustainableMemastikan bahwa desain yang diusulkan memperhatikan keawetan dan perawatan jangka panjang.
33Berdampak PositifMenyasar hasil akhirnya untuk meningkatkan keselamatan kendaraan dan pembelajaran tim Formula Student.

Dalam analisis ini, semua 33 kriteria dipraktikkan untuk memastikan bahwa proses desain dan analisis:

  • Tidak hanya menghasilkan solusi teknis yang optimal,
  • Tetapi juga menjaga etika, kebermanfaatan sosial, dan prinsip keberlanjutan,
  • Serta memperhatikan nilai-nilai spiritual sebagai landasan teknisi yang bertanggung jawab.

Khusus dalam konteks Formula Student, nilai seperti inovasi, tanggung jawab, adaptif, dan berdampak positif menjadi sangat penting untuk membangun karakter insinyur masa depan yang utuh, tidak hanya unggul secara teknis, tetapi juga secara moral dan sosial.


Leave a Reply

Your email address will not be published. Required fields are marked *