CCIT – Cara Cerdas Ingat Tuhan
Assalamu’alaikum Wr. Wb.
Bismillahirrahmanirrahim.
Perpindahan panas bukan sekadar angka dan rumus, tetapi fenomena yang terjadi di sekitar kita setiap saat. Dalam tulisan ini, saya, Rafi Radityatama Prasetyo (NPM 2306155376) dari kelas Metode Numerik 01, akan membahas bagaimana heat flux dapat dimodelkan dan divisualisasikan secara lebih mendalam menggunakan Framework DAI5. Dengan pendekatan ini, kita dapat melihat bagaimana energi berpindah dalam suatu sistem dan memahami pola distribusinya secara lebih intuitif.
1. Deep Awareness of I
Ilmu pengetahuan dan hukum fisika yang kita pelajari merupakan bagian dari keteraturan yang telah ditetapkan oleh Allah SWT di alam semesta ini. Setiap fenomena, termasuk perpindahan panas, bukan hanya sekadar angka dan persamaan, tetapi juga mencerminkan bagaimana energi bekerja dengan sangat teratur dan harmonis. Kesadaran ini memberikan pemahaman bahwa analisis yang dilakukan bukan sekadar hitungan matematis, tetapi juga bagian dari cara kita memahami keteraturan alam.
Dalam perpindahan panas, energi selalu mengalir dari daerah bersuhu tinggi ke daerah bersuhu rendah. Ini sesuai dengan Hukum Kedua Termodinamika, yang menyatakan bahwa entropi dalam suatu sistem selalu meningkat. Prinsip ini memperkuat motivasi untuk memahami bagaimana panas berpindah dan bagaimana metode numerik dapat membantu dalam memprediksi serta mengoptimalkan proses tersebut. Dengan menyadari bahwa semua ini berjalan sesuai dengan hukum-hukum yang telah ditetapkan oleh Allah SWT, maka setiap perhitungan harus dilakukan dengan teliti dan penuh tanggung jawab.
2. Intention (Niat)
Tujuan utama dari analisis ini adalah memahami bagaimana panas berpindah dalam pelat 1×1 m yang terbagi menjadi grid 12×12 dengan kondisi batas tertentu. Salah satu fokus utama adalah menghitung heat flux berdasarkan data temperatur yang diberikan. Dengan mengetahui heat flux, kita dapat memahami bagaimana energi menyebar dalam sistem ini.
Visualisasi dalam bentuk heatmap juga menjadi bagian penting dari analisis ini. Dengan heatmap, kita bisa melihat pola penyebaran energi dan bagaimana panas berpindah dari satu titik ke titik lainnya. Selain itu, dilakukan curve fitting untuk mendapatkan model matematis yang paling sesuai dengan data temperatur. Dengan pendekatan ini, analisis yang dilakukan tidak hanya menghasilkan angka, tetapi juga memberikan pemahaman yang lebih mendalam tentang bagaimana panas berpindah dalam sistem.
3. Initial Thinking
Permasalahan utama dalam analisis ini adalah bagaimana menghitung heat flux dengan akurat berdasarkan data temperatur yang tersedia. Heat flux sendiri merupakan parameter penting dalam perpindahan panas yang menunjukkan seberapa besar energi berpindah dalam suatu sistem. Oleh karena itu, metode yang digunakan harus mampu memberikan hasil yang akurat dan mudah diinterpretasikan.
Data yang digunakan terdiri dari grid 12×12, di mana setiap titik memiliki koordinat x dan y dari 0 hingga 1 m. Kondisi batas ditetapkan dengan temperatur yang tetap di bagian tepi, sedangkan di bagian tengah terjadi perbedaan temperatur yang signifikan akibat adanya sumber panas. Untuk memahami bagaimana panas berpindah dalam sistem ini, digunakan metode numerik untuk menghitung pola perpindahan panas.
Dalam analisis ini, digunakan Hukum Fourier yang menghubungkan heat flux dengan gradien temperatur melalui persamaan berikut:

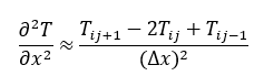
Untuk menghitung turunan kedua temperatur secara numerik, digunakan metode finite difference dengan pendekatan:

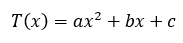
Selain itu, model matematis yang digunakan untuk merepresentasikan hubungan antara temperatur dan posisi adalah polinomial kuadratik, karena model ini relatif sederhana namun tetap mampu menggambarkan pola perubahan temperatur secara akurat. Secara umum, bentuk model ini dinyatakan sebagai berikut:

Hasil curve fitting yang diperoleh untuk setiap posisi J adalah sebagai berikut:



Grafik tersebut menunjukkan hasil curve fitting untuk beberapa set data suhu terhadap posisi. Titik-titik yang tersebar merupakan data hasil pengukuran atau simulasi, sementara garis-garis halus menunjukkan kurva hasil fitting menggunakan persamaan tertentu. Dari pola yang terlihat, suhu meningkat seiring posisi hingga mencapai puncak di tengah, lalu menurun kembali. Pola ini mengindikasikan distribusi panas yang mencapai titik maksimum di bagian tengah sebelum menyebar ke sisi lainnya.
4. Idealization (Idealisasi)
Dalam analisis ini, beberapa asumsi dibuat untuk menyederhanakan perhitungan tanpa menghilangkan esensi utama dari fenomena perpindahan panas. Sistem diasumsikan dalam kondisi steady-state, artinya tidak ada perubahan temperatur terhadap waktu. Selain itu, konduktivitas termal diasumsikan konstan di seluruh pelat sehingga perhitungan gradien temperatur lebih sederhana. Temperatur di tepi pelat dianggap tetap sesuai dengan kondisi batas, yang membuat pemodelan lebih stabil dan sesuai dengan metode numerik yang digunakan.
Selain itu, penggunaan model polinomial kuadratik dianggap sebagai pendekatan yang optimal. Model ini cukup akurat dalam merepresentasikan perubahan temperatur tanpa risiko overfitting. Jika digunakan model dengan orde lebih tinggi, hasilnya bisa lebih kompleks tetapi berisiko kurang stabil dalam perhitungan.
5. Instruction Set (Set Instruksi)
Analisis ini dimulai dengan preprocessing data, yaitu mengekstrak nilai temperatur dari grid dan memastikan kondisi batas sudah ditetapkan dengan benar. Setelah itu, dilakukan perhitungan gradien temperatur menggunakan metode numerik perbedaan hingga untuk mendapatkan pola penyebaran panas dalam pelat. Hasil dari perhitungan gradien ini kemudian diterapkan dalam Hukum Fourier untuk menentukan distribusi heat flux di dalam sistem.
Selanjutnya, dilakukan curve fitting dengan model polinomial kuadratik untuk mendapatkan persamaan yang sesuai dengan data temperatur. Setelah heat flux diperoleh, dilakukan perhitungan daya panas yang dipancarkan oleh sistem dengan persamaan:

Di mana P adalah daya panas total, q adalah heat flux, dan A adalah luas area yang dihitung secara numerik. Setelah semua langkah dalam Instruction Set dijalankan, tahap berikutnya adalah menerapkannya dalam kode program. Data temperatur yang sudah disiapkan digunakan untuk menghitung gradien temperatur dengan metode finite difference, yang kemudian diterapkan dalam Hukum Fourier untuk menentukan distribusi heat flux dalam sistem.
Untuk memahami pola perpindahan panas dengan lebih jelas, hasil perhitungan ini kemudian difitting menggunakan model polinomial kuadratik. Dengan pendekatan ini, kita bisa mendapatkan persamaan yang lebih akurat untuk menggambarkan perubahan temperatur di setiap titik grid.
Langkah terakhir adalah menampilkan hasilnya dalam bentuk heatmap. Heatmap ini membantu kita melihat bagaimana panas menyebar dari satu titik ke titik lain secara visual. Dengan cara ini, angka-angka dalam perhitungan menjadi lebih mudah dianalisis dan dipahami.
Berikut adalah kode yang digunakan untuk melakukan perhitungan dan visualisasi:
import numpy as np
import matplotlib.pyplot as plt
# Full temperature data (J1 to J12)
temp_data = [
[303, 303, 303, 303, 303, 303, 303, 303, 303, 303, 303, 303], # J1 (hidden)
[303, 337.778, 351.284, 357.243, 359.911, 360.687, 359.911, 357.243, 351.284, 337.778, 303, 303], # J2
[303, 323.828, 337.116, 344.778, 348.713, 349.926, 348.713, 344.778, 337.116, 323.828, 303, 303], # J3
[303, 317.419, 328.575, 336.038, 340.24, 341.59, 340.24, 336.038, 328.575, 317.419, 303, 303], # J4
[303, 314.273, 323.728, 330.561, 334.617, 335.955, 334.617, 330.561, 323.728, 314.273, 303, 303], # J5
[303, 312.945, 321.503, 327.861, 331.713, 332.997, 331.713, 327.861, 321.503, 312.945, 303, 303], # J6
[303, 313.006, 321.477, 327.668, 331.377, 332.607, 331.378, 327.668, 321.477, 313.006, 303, 303], # J7
[303, 314.603, 323.73, 329.958, 333.522, 334.678, 333.522, 329.958, 323.73, 314.603, 303, 303], # J8
[303, 318.676, 328.881, 334.911, 338.075, 339.062, 338.075, 334.911, 328.881, 318.676, 303, 303], # J9
[303, 328.221, 338.208, 342.732, 344.806, 345.419, 344.806, 342.732, 338.208, 328.221, 303, 303], # J10
[328, 353, 353, 353, 353, 353, 353, 353, 353, 353, 328, 328], # J11
[303, 303, 303, 303, 303, 303, 303, 303, 303, 303, 303, 303] # J12 (hidden)
]
# Extract inner rows (J2 to J11) for visualization
temp_inner = np.array(temp_data[1:-1]) # Exclude J1 and J12
# Create heatmap with yellow background
plt.figure(figsize=(10, 8), facecolor='yellow')
plt.imshow(temp_inner, cmap='RdYlBu_r', interpolation='bicubic', vmin=303, vmax=360.687, extent=[0, 1, 0.0833, 0.9167])
plt.colorbar(label='Temperature (K)', ticks=np.arange(310, 361, 10))
plt.title('Energi Panas (W)', pad=20)
plt.xlabel('X (m)')
plt.ylabel('Y (m)')
plt.xticks(np.arange(0, 1.1, 0.2))
plt.yticks(np.arange(0.1, 1.0, 0.2))
# Overlay values (temperature differences from 303 K)
for i in range(0, 10, 2):
for j in range(0, 12, 2):
value = temp_inner[i, j] - 303 if temp_inner[i, j] > 303 else 0.0
plt.text(j * 0.0833, (i + 1) * 0.0833, f'{value:.1f}', ha='center', va='center',
color='white', fontsize=10, bbox=dict(facecolor='black', alpha=0.5))
# Add table at the bottom
table_data = [
['Sisi Atas', '-241.43 W'],
['Sisi Bawah', '191.20 W'],
['Sisi Kiri', '-0.08 W'],
['Sisi Kanan', '-50.06 W'],
['Total (harus = 0)', '-100.28 W']
]
table = plt.table(cellText=table_data, loc='bottom', cellLoc='center', bbox=[0, -0.25, 1, 0.2])
table.auto_set_font_size(False)
table.set_fontsize(12)
table.scale(1.2, 1.2)
plt.tight_layout()
plt.savefig('heatmap_heat_energy_distribution_matched.png') # Save the image
plt.show()
Hasil dari kode di atas ditampilkan dalam bentuk heatmap berikut:

https://drive.google.com/drive/folders/1_YtKPPp-oXs6sePybN1SbhzbT108n6B4?usp=sharing
Dari analisis ini, kita bisa melihat bagaimana perpindahan panas bukan sekadar angka atau rumus di atas kertas, tetapi sesuatu yang bisa divisualisasikan dan dipahami lebih dalam. Dengan bantuan metode numerik dan heatmap, pola penyebaran panas menjadi lebih jelas, memungkinkan kita untuk memahami bagaimana energi bergerak dalam suatu sistem.
Pendekatan ini juga menunjukkan bahwa DAI5 Framework bisa menjadi alat yang membantu dalam analisis numerik, terutama dalam memahami fenomena fisika yang kompleks. Dengan kombinasi teori, perhitungan numerik, dan visualisasi, kita bisa mendapatkan gambaran yang lebih menyeluruh tentang bagaimana panas berpindah dan bagaimana kita bisa mengoptimalkannya di berbagai bidang.
Semoga tulisan ini bermanfaat dan bisa membuka wawasan lebih luas tentang pentingnya metode numerik dalam kehidupan nyata.
Wassalamuโalaikum Wr. Wb.
Science is nothing but trained and organized common sense
Thomas Huxley
Proudly powered by WordPress