Assalamualaikum Warahmatullahi Wabarakatuh.
Pada bulan Ramadhan yang mulia dan berkah ini, saya diberikan tugas mengvisualisasikan persebaran daya 2 dimensi pada sistem konduksi panas berdasarkan data tugas sebelumnya. Saya menggunakan AI yaitu DeepSeek untuk membantu saya dalam mengerjakan tugas ini.
Berikutnya saya akan menjelaskan sedikit tentang apa yang telah saya pelajari dari tugas yang telah diberikan yaitu Memvisualisasikan Persebaran Daya dari Sistem Konduksi Panas 2 Dimensi dengan Menggunakan Curved Fitting terhadap Persamaan Temperatur dan Flux Panas.
Step pertama ialah membuat file .csv dari hasil simulasi CFD 2 dimensi yang telah dikerjakan minggu lalu. Berikut adalah hasil simulasi yang telah dibuat didalam file .csv

Step selanjutnya adalah membuat curve fitting dengan menggunakan bantuan AI. Disini saya menggunakan platform DeepSeek untuk membantu saya mendapatkan garfik curve fittingnya. Untuk memudahkan proses pembuatan curve fitting, saya meminta AI untuk merapihkan datanya terlebih dahulu lalu meminta hasil curve fitting melalui coding dan membuka hasil codingnya menggunakan Google Colabs. Berikut adalah prompt saya serta hasil grafik curve fitting dari data sebelumnya :


Lalu step selanjutnya setelah mendapatkan persamaan temperatur : y = -225.11x^2 + 225.11x + 309.79, saya mengubah persamaan temperatur tersebut menjadi persamaan flux panas menjadi seperti berikut ini :

Dengan menggunakan persamaan flux panas tersebut didapatkan hasil q adalah q=450.22xโ225.11
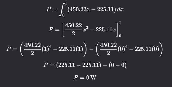
Setelah mendapatkan persamaan flux panas (q), saya melakukan perhitungan menghitung daya (P) dengan menggunakan rumus berikut :

Saya menggunakan bantuan dari AI DeepSeek dalam melakukan perhitungan P

Dari hasil integral, daya total (P) adalahย 0 W. Ini menunjukkan bahwa tidak ada transfer panas bersih di sepanjang area yang diintegralkan.
Selanjutnya saya memvisualisasikan persebaran daya yang dapat dilihat dari nilai flux panas (q) di setiap titikย x: q(x)=450.22xโ225.11. Dengan menggunakan x = 0 dan x = 1 maka saya mendapatkan q(0) = โ225.11W/mยฒ dan q(1) = 225.11W/mยฒ.
Lalu saya memvisualisasikan persebaran daya dengan menggunakan bantuan AI dengan melalui format coding Python dan membuka hasil codingnya menggunakan Google Colabs. Berikut merupakan hasil visualisasi persebaran daya terhadap flux panas :

- Warna ungu menggambarkan daerah dengan fluks panas negatif (panas keluar)
- Zona biru muda menggambarkan titik di mana fluks panas nol, menunjukkan keseimbangan termal.
- Zona hijau menggambarkan daerah dengan fluks panas positif (panas masuk)
Sekian yang bisa saya sampaikan mengenai hasil curve fitting, perubahan persamaan dari temperatur menjadi flux panas, serta hasil visualisasi persebaran daya.
Kurang kebihnya mohon maaf, Wassalamualaikum Warrahmatullahi Wabarakatuh.