Assalamualaikum Warahmatullahi Wabarakatuh
MESIN, BERSYUKUR BERSYUKUR BERSYUKUR!!!
Perkenalkan saya Adam Zaki dengan NPM 2306155325. Pada kesempatan yang berbahagia ini izinkan saya untuk sharing sedikit mengenai apa yang telah saya pelajari pada mata kuliah Sistem Konversi Energi. Spesifiknya saya akan membahas mengenai Gas Turbine.
Sebelumnya, saya sudah pernah membahas terkait turbin dengan jenis Pelton dan Francis. Sekarang saya akan membahas lebih lanjut mengenai Gas Turbine. Prinsip saya ketika ingin mempelajari sesuatu harus mengetahui dasar/fundamental dari suatu sistem untuk kita pelajari. Gunanya agar dapat memberikan pemahaman yang baik dan benar untuk kita kedepannya sehingga kita tidak lupa akan dasar/cara kerja dari suatu sistem yang tentunya sangatlah kompleks. Saya akan mulai dari Prinsip Kerja/Fundamental Gas Turbine :
PRINSIP KERJA GAS TURBINE
Gas turbine bekerja berdasarkan Brayton (Joule) cycle:
- Kompressi adiabatik (isentropic ideal) di kompresor โ tekanan & temperatur naik.
- Pembakaran (penambahan kalor pada tekanan ~konstan) di combustor โ temperatur naik kuat (TIT).
- Ekspansi adiabatik (isentropic ideal) lewat turbin โ gas mengerjakan usaha pada poros.
- Exhaust / buang panas (kembali ke lingkungan, open cycle) atau dikondisikan dalam closed/recuperated cycle.
Komponen fisis: inlet โ kompresor โ combustor (bakar bahan bakar) โ turbine โ exhaust. Prinsip termodinamik dan vektor kecepatan pada rotor menentukan daya dan efisiensi
JENIS-JENIS GAS TURBINE
- Heavy-duty / industrial (frame) turbines โ untuk pembangkit listrik skala besar, mechanical drive. Biasanya besar, dirancang untuk durabilitas, PR (pressure ratio) sedang.
- Aeroderivative turbines โ turunan mesin pesawat (ringan, fleksibel, start cepat), sering untuk pembangkit peaker atau mobile.
- Turbofan / turbojet / turboprop โ varian untuk propulsi udara (pesawat); struktur berbeda (bypass, fan).
- Microturbines โ kecil, untuk CHP/standby.
- Simple-cycle vs Combined-cycle โ simple = langsung gas โ turbin โ exhaust; combined = gas turbine + heat recovery steam generator (HRSG) + steam turbine โ efisiensi total jauh lebih tinggi.
RUMUS PENTING :
- Hubungan Isentropik
Untuk kompresi atau ekspansi (fluida gas ideal):


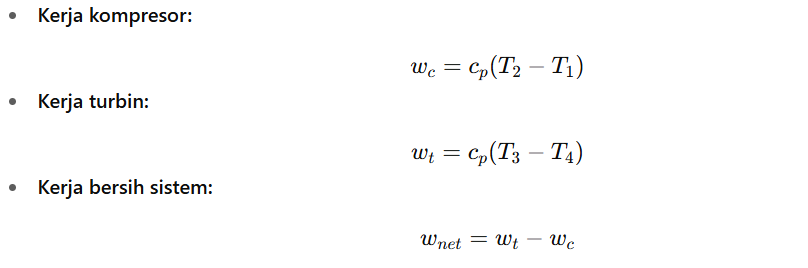
- Kerja Kompresor & Turbin

- Efisiensi Termal Siklus Brayton (Ideal)

Intinya: Makin tinggi rasio tekanan rp, makin tinggi efisiensinya. Hanya berlaku untuk siklus ideal (tanpa gesekan, dll).
Hubungan dengan daya nyata :

4. Efisiensi Aktual: (Non-Ideal)

Tentu dalam aspek perancangan/perhitungan pada turbin gas ada beberapa parameter penting yang harus diperhatikan :

Berikut perbandingan Turbin Gas dengan Turbin Jenis Lain :

Kelebihan Gas Turbine
- Rasio daya-berat tinggi (baik untuk pesawat & mobile).
- Start cepat, respons beban cepat (aeroderivatives).
- Bisa gunakan berbagai bahan bakar (NG, diesel, H2).
- Kombinasi simple + bottoming steam (combined cycle) โ efisiensi sangat tinggi (~60%+).
Kekurangan Gas Turbine
- Perlu material tahan suhu tinggi & kompleks cooling (mahal).
- Sensitif terhadap kualitas bahan bakar; perawatan turbin & kompresor memerlukan teknik tinggi.
- Emisi NOx (but controllable with combustor design).
- Efisiensi simple-cycle lebih rendah dibanding combined cycle atau pembangkit uap besar
APLIKASI NYATA
Sebagai calon sarjana teknik mesin kita harus mengetahui dimana saja kita bisa mengimplementasikan Gas Turbine ini. Berikut adalah contoh penerapan nyata dari Gas Turbine :
- Power generation: peaker plants (simple-cycle), baseload/combined-cycle plants (CCGT) untuk efisiensi tinggi.
- Propulsi udara: turbofan/turbojet di pesawat komersial & militer.
- Mechanical drive: pemutar kompresor gas pipeline, pemacu pompa industri.
- Marine: ship propulsion (some ships use gas turbines).
- Micro-CHP / distributed generation: microturbines.
- Riset/advanced: closed Brayton with helium or sCOโ for nuclear or concentrated solar (advanced power conversion).
PENERAPAN FRAMEWORK DAI5
1. Deep Awareness of I (Kesadaran Mendalam terhadap Konsep Dasar)
Pada tahap ini, mahasiswa diharapkan memiliki kesadaran mendalam bahwa hubungan antara tekanan, kecepatan, dan luas penampang bukan sekadar representasi matematis, melainkan manifestasi dari konservasi energi fluida. Prinsip Bernoulli dan persamaan kontinuitas menunjukkan bahwa energi fluida terbagi menjadi energi potensial, energi kinetik, dan energi tekanan. Dengan demikian, perubahan pada satu parameter (seperti luas penampang) akan memengaruhi distribusi energi lainnya. Kesadaran ini penting agar mahasiswa memahami konsep bukan hanya secara simbolik, tetapi juga secara fisik โ bagaimana fluida berperilaku nyata dalam sistem seperti nozzle, diffuser, atau saluran turbin.
2. Intention (Niat dan Tujuan Pembelajaran)
Tahapan ini menekankan kesadaran tujuan dalam mempelajari hubungan AโvโP. Tujuannya bukan semata menghafal hukum Bernoulli, melainkan memahami batasan dan penerapan konsep tersebut dalam kondisi nyata. Seorang mahasiswa teknik mesin perlu menyadari bahwa hukum Bernoulli ideal hanya berlaku pada kondisi tertentu: aliran fluida yang mantap (steady flow), tidak termampatkan (incompressible), serta tanpa gesekan (inviscid). Dengan memahami tujuan ini, mahasiswa dapat lebih kritis dan terarah dalam menganalisis perbedaan perilaku fluida pada berbagai jenis sistem, misalnya antara aliran air pada turbin Pelton dengan gas pada turbin jet.
3. Initial Thinking (Pemikiran Awal / Dasar Analisis)
Tahap ini merupakan fondasi awal berpikir, di mana mahasiswa mulai dengan asumsi idealisasi untuk memahami dasar fenomena. Misalnya, ketika mempelajari aliran pada pipa, digunakan asumsi fluida incompressible sehingga persamaan kontinuitas sederhana โdapat diterapkan

Dari sini, mahasiswa memahami bahwa penyempitan luas penampang akan meningkatkan kecepatan aliran dan menurunkan tekanan sesuai prinsip Bernoulli. Pemikiran awal ini penting agar konsep dasar tertanam sebelum beranjak pada kondisi yang lebih kompleks seperti aliran compressible atau turbulen.
4. Idealization (Idealisasi dan Pengembangan Konsep ke Dunia Nyata)
Setelah memahami kondisi ideal, mahasiswa mulai menyadari adanya penyimpangan dalam sistem nyata. Di tahap ini, konsep ideal diadaptasi menjadi model yang lebih realistis dengan mempertimbangkan faktor-faktor seperti:
- Fluida compressible (gas): perubahan densitas memengaruhi hubungan AโvโP; dalam kondisi supersonik, hubungan bisa berbalik arah.
- Efek viskositas: munculnya kehilangan energi (head loss) akibat gesekan, seperti yang dijelaskan dalam persamaan DarcyโWeisbach.
- Penambahan atau pengambilan energi: misalnya adanya pompa (peningkatan tekanan) atau turbin (penurunan tekanan).
Tahap idealisasi inilah yang menjembatani antara teori ideal dengan kenyataan sistem konversi energi, agar analisis fluida menjadi akurat dan aplikatif.
5. Instruction-Set (Langkah Operasional Berpikir dan Analisis Sistematis)
Tahapan terakhir berfungsi sebagai panduan berpikir sistematis saat menghadapi kasus nyata. Secara umum, langkah-langkah yang dapat diterapkan adalah:
- Identifikasi fluida yang digunakan (compressible atau incompressible).
- Klasifikasikan kondisi aliran, apakah steady, unsteady, laminar, atau turbulen.
- Tentukan batas-batas kontrol energi (adakah energi masuk atau keluar, seperti pada pompa dan turbin).
- Gunakan model persamaan yang relevan, apakah Bernoulli ideal, Bernoulli dengan koreksi head loss, atau persamaan energi total untuk compressible flow.
- Evaluasi hasil fisik dengan mempertimbangkan realitas sistem (apakah hasilnya realistis secara mekanis dan termodinamika).
KESIMPULAN
Gas turbine = mesin energi berdasarkan siklus Brayton (kompresi โ pembakaran โ ekspansi). Kunci performa: pressure ratio dan turbine inlet temperature; efisiensi simple-cycle ~30โ40% tapi bisa >60% dalam combined cycle. Ada banyak tipe (heavy frame, aeroderivative, turbofan) dan dalam bentuk closed cycle bisa juga pakai gas lain (He, sCOโ). Dari sisi mekanikal, tantangannya di material & cooling (untuk gas turbine) vs kavitasi & erosi (untuk hydro).
Demikian yang dapat saya sampaikan, semoga tulisan sederhana ini dapat menjadi tulisan yang penuh makna bagi kita semua. Kurang lebihnya mohon maaf karena sesungguhnya saya hanya manusia biasa yang sedang menuntut ilmu dan belajar untuk menjadi lebih baik.
STAY CONSCIOUS
MESIN, BERSYUKUR BERSYUKUR BERSYUKUR!
Wassalamualaikum Warahmatullahi Wabarakatuh