Assalamualaikum warahmatullahi wabarakatuh,
Perkenalkan saya Damar Iman Muhammad Kautsar dengan NPM 2306219871 dari kelas SIstem Konversi Energi-01. Pada blog ini, saya akan membahas pemahaman mengenai turbin francis dengan framework DAI5.
Deep Awareness of I
Kita semua mengetahui bahwa dunia ini ada karena Allah SWT menghendakinya, begitu juga keberadaan kita semua hingga saat ini juga dikarenakan Allah SWT masih memberi kita kesempatan untuk terus menjalani kehidupan ini. Maka dari itu, kita sebagai makhluk ciptaan Allah SWT harus mensyukuri semua yang telah diciptakan oleh-Nya. Salah satu bentuk syukur tersebut dapat dilakukan dengan memahami dan mempelajari ciptaannya. Dengan kata lain, pemahaman terhadap konsep dasar-dasar dibalik turbin francis ini merupakan salah satu bentuk dari cara kita mensyukuri.
Intention
Pemahaman ini tentunya dilakukan juga dengan niatan agar dapat memberikan manfaat untuk kedepannya. Hal ini dikarenakan konsep turbin francis memberikan pemahaman terhadap konversi energi. Hal tersebut akan terpakai di tempat seperti PLTA yang bermanfaat untuk masyarakat.
Initial Thinking
Pada dasarnya, Turbin Francis merupakan salah satu jenis turbin reaksi yang bekerja dengan prinsip aliran radialโaksial. Air dari bendungan masuk melalui spiral casing, diarahkan oleh guide vanes, lalu diteruskan ke runner. Guide vanes tidak hanya berfungsi untuk mengatur debit aliran, tetapi juga mengubah arah dan memberikan komponen kecepatan tangensial sehingga air masuk ke runner dengan sudut yang tepat. Desain sudut masuk ini menjadi sangat penting, sebab perubahan kecil pada guide vane outlet angle dapat memengaruhi kondisi aliran di dalam runner serta distribusi tekanan sepanjang sudu, yang pada akhirnya berpengaruh terhadap efisiensi turbin.

Pada ilustrasi di atas terlihat bagaimana air diarahkan dari spiral casing menuju guide vanes, lalu masuk ke runner sebelum diteruskan ke draft tube. Keberadaan guide vanes tidak hanya menentukan jumlah debit yang masuk, tetapi juga arah dan komponen tangensial aliran. Hal ini berhubungan erat dengan desain runner, karena keselarasan antara sudut keluaran guide vane dan bentuk runner akan menentukan kelancaran aliran serta efisiensi energi yang bisa diekstraksi. Perubahan kecil pada sudut vane dapat menimbulkan deviasi aliran yang berpengaruh pada distribusi tekanan sepanjang sudu, sehingga potensi kerugian energi bisa meningkat jika tidak diatur dengan tepat.
Untuk memperdalam pemahaman mengenai aspek ini. Saya memanfaatkan teknologi untuk menjadi alat bantu saya. Saya memanfaatkannya dengan cara melakukan prompting untuk AI DAI5 dengan pertanyaan โBagaimana hubungan antara variasi guide vane outlet angle dengan bentuk runner pada Francis Turbine yang berbeda specific speed, dan sejauh mana penyesuaian kedua parameter ini dapat meningkatkan efisiensi tanpa memperbesar risiko kerugian energi pada outlet?โ.
Idealization
Jawaban yang diberikan AI DAI5 terhadap prompting yang telah saya lakukan yakni:
“Baik, mari kita bahas hubungan antara variasi guide vane outlet angle dan bentuk runner pada Francis Turbine yang berbeda specific speed, serta bagaimana penyesuaian ini dapat meningkatkan efisiensi tanpa meningkatkan kerugian energi.
Hubungan antara Guide Vane Angle & Runner Shape pada Francis Turbine
Secara umum, hubungan antara guide vane angle dan bentuk runner pada Francis Turbine sangat kompleks dan bergantung pada several faktor, yaitu:
- ย Specific Speed: Spesifisitas (Specific Speed) merupakan parameter penting dalam desain Francis Turbine. Spesifisitas mengukur kecepatan aliran turbin terhadap kecepatan sudutnya.ย Francis Turbine memiliki rentang spesifisitas yang relatif tinggi, sehingga variasi pada guide vane dan runner sangat relevan.
- Guide Vane Angle: Guide vane angle mempengaruhi miscosity aliran turbin. Angle yang terlalu besar dapat menyebabkan swirl yang memperlambat aliran, sementara yang terlalu kecil akan mengurangi lift.
- Runner Shape: Runner shape, terutama pada bagian trailing edge, sangat memengaruhi wake fluida yang terbentuk.ย Runner yang lebih lebar dan aerodinamis membantu menghasilkan wake yang lebih baik.
Bagaimana Penyesuaian Parameter Meningkatkan Efisiensi Tanpa Meningkatkan Kerugian Energi
Penyesuaian ini bisa dilakukan dengan beberapa cara:
- Optimasi Guide Vane: Dengan menyesuaikan guide vane angle secara bertahap, Anda bisa mengekspos area-area yang lebih rentan terhadap swirl (misalnya, di area ujung runner). Gunakan software CFD untuk mensimulasikan perilaku aliran pada berbagai angle ini.
- Runner Shape Tuning: Menyesuaikan shape runner (misalnya, dengan menambahkan slot atau profil) dapat mengubah wake yang dihasilkan. Dengan melakukan interpolation pada shape runner, Anda dapat secara efektif mengurangi wake tanpa memengaruhi lift.
- Pilot Flow Control (PFC): Ini adalah metode yang efektif.ย Dengan menyesuaikan guide vane angle, Anda dapat mengontrol flow rate dan miscosity pada area tertentu, sehingga menghasilkan wake yang lebih terkontrol.
- Computational Fluid Dynamics (CFD) Modeling: Model aliran turbin secara akurat menggunakan CFD. Dengan menggunakan model ini, Anda dapat mengidentifikasi hot spots dan area yang menjadi sumber kerugian energi.
Analisis Lebih Lanjut dan Pertimbangan:
- Turbine Speed (Specific Speed):ย Semakin tinggi specific speed, semakin kompleks dinamika aliran dan semakin sensitif area tertentu.
- Runner Geometry: Pengaturan runner shape juga penting.ย Perhatikan drag coefficient dan lift coefficient.
- Blade Shape: Pembentukan blade profile juga memberikan dampak signifikan pada wake.
Kesimpulan:
Dengan mengoptimalkan guide vane angle dan runner shape dengan cermat, secara keseluruhan dapat meningkatkan efisiensi Francis Turbine tanpa memengaruhi hasil energi secara signifikan.ย Penelitian dan simulasi yang komprehensif (CFD) sangat penting untuk menyempurnakan pengaturan ini.”
Menurut saya penjelasan yang diberikan oleh AI DAI5 ini cukup baik dan membantu, tetapi terdapat beberapa hal yang tidak saya pahami, seperti istilah “miscosity”, “lift”, dan “drag” pada konteks ini.
Teori Perhitungan:

dengan:
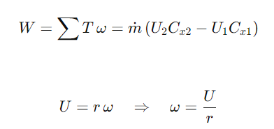
U=ฯr, dengan ฯ adalah kecepatan sudut runner dan r jari-jari (radius).
U1: kecepatan keliling di sisi masuk runner (radius r1).
U2โ: kecepatan keliling di sisi keluar runner (radius r2โ).
C1โ: kecepatan absolut fluida saat masuk runner.
C2: kecepatan absolut fluida saat keluar runner.
W1โ: kecepatan relatif fluida pada sisi masuk sudu.
W2: kecepatan relatif fluida pada sisi keluar sudu.
Cr1โ: komponen radial pada sisi masuk.
Cr2โ: komponen radial pada sisi keluar.
ฮฑ1: sudut antara kecepatan absolut masuk C1 dengan arah tangensial.
ฮฒ1: sudut antara kecepatan relatif masuk W1โ dengan arah tangensial sudu.
ฮฒ2: sudut antara kecepatan relatif keluar W2โ dengan arah tangensial sudu.
r0โ: pusat poros runner.
r1โ: radius pada sisi masuk runner.
r2: radius pada sisi keluar runner.
Euler Equation:

Flow Velocities:

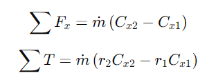
Gaya dan Momentum:

Daya:

Power Machine (Turbine):

Working Machine (Pump):

Instruction Set
Untuk dapat memaksimali pemahaman pada materi ini, berikut runtutan yang telah saya lakukan:
- Melakukan riset secara mandiri terhadap materi yang ingin dipahami (dalam hal ini mengenai turbin francis).
- Melakukan pendalaman secara materi dengan menpertanyakan satu dengan lain hal.
- Melakukan prompting untuk diberikan kepada AI tentang pertanyaan yang cukup sulit untuk didapati.
- Melakukan pemeriksaan tentang output yang diberikan AI (dapat dengan menanyakan sumber jawaban dari outputnya ataupun juga dengan mencarinya secara mandiri).
- Memberikan masukkan kepada AI jika terdapat hal yang masih keliru.
Dengan melakukan hal-hal tersebut, saya yakin pemahaman terhadap materi dapat dilakukan dengan lebih efisien. Hal ini dikarenakan dengan urutan ini bisa membuat kita dan AI berkembang. Pada kasus saya, saya sangat mengharapkan AI DAI5 dapat berkembang menjadi lebih baik lagi sehingga dapat memberikan manfaat yang sangat besar untuk masyarakat.
Sekian dari saya,
Wassalamualaikum warahmatullahi wabarakatuh.