ccitonline.com

CCIT – Cara Cerdas Ingat Tuhan

| DAI5 eBook Free Download | CFDSOF | VisualFOAM | PT CCIT Group Indonesia : Indonesia leading CFD services company with Inhouse CFD Technology |

Konsep Impuls dan Penerapannya dalam Transisi Energi pada Turbo Machinery – Athiyya Hazza Aorora Sikov (2306265386)

Pendahuluan

Impuls dalam fisika dapat dipahami sebagai gaya yang bekerja untuk mengubah momentum suatu sistem. Secara sederhana, impuls merupakan perubahan momentum yang dapat diukur secara kuantitatif, sehingga dapat pula diartikan sebagai โ€œperubahan gerakanโ€ yang signifikan.

Impuls dalam Turbo Machinery

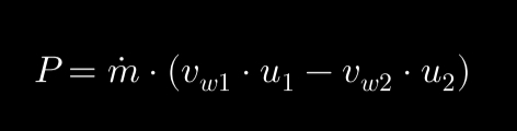
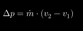
Dalam sistem mekanik, khususnya turbo machinery, impuls berfungsi sebagai masukan energi. Fluida yang mengalir atau berputar mengalami perubahan momentum akibat perubahan kecepatan atau arah alirannya. Perubahan momentum yang cukup besar menghasilkan impuls yang kemudian dapat dikonversi menjadi energi yang lebih berguna, seperti energi listrik.

atau dengan pendekatan Euler-Turbin:


Keterkaitan dengan Hukum Termodinamika

Hukum termodinamika menyatakan bahwa setiap perubahan energi selalu disertai dengan perubahan keadaan, yaitu energi yang bertransformasi ke bentuk lain. Dalam turbin, energi potensial fluida (misalnya karena perbedaan ketinggian) diubah menjadi energi kinetik (melalui kecepatan aliran atau rotasi). Perubahan momentum inilah yang dimanfaatkan untuk menghasilkan energi listrik.

Aplikasi pada Sistem Konversi Energi

Turbin merupakan contoh utama penerapan prinsip impuls. Beberapa aspek penting dalam desain dan penerapannya antara lain:

  • Bentuk Sudu (Bucket): Bentuk bucket sangat menentukan efisiensi transfer momentum dari fluida ke turbin.
  • Pengaturan Aliran (Flow): Desain turbin mempertimbangkan perubahan arah, kecepatan, serta pola aliran fluida akibat impuls.
  • Efisiensi Energi: Optimalisasi bentuk sudu, kecepatan aliran, dan tekanan fluida berperan penting dalam meningkatkan efisiensi konversi energi.
  • Pengaturan Kecepatan: Kontrol kecepatan aliran fluida berpengaruh langsung terhadap efektivitas transfer energi.

Aspek Teknis Lanjutan

Selain prinsip dasar, terdapat beberapa aspek teknis yang relevan dalam pemahaman lebih mendalam:

  • Perubahan Momentum Fluida: Analisis bagaimana momentum fluida berubah akibat variasi ketinggian dan kecepatan.
  • Analisis Aliran Fluida: Kajian mengenai karakteristik aliran fluida sangat penting dalam desain turbin.
  • Distribusi Momentum: Pemahaman mengenai distribusi momentum di dalam sistem turbin untuk memastikan efisiensi kerja optimal.

Pertanyaan Strategis untuk Diskusi Lebih Lanjut

  1. Bagaimana pentingnya desain bucket pada turbin dalam kaitannya dengan prinsip impuls?
  2. Bagaimana bentuk bucket dapat dioptimalkan untuk memaksimalkan efisiensi transfer energi impulsif dibandingkan dengan desain sederhana?
  3. Faktor-faktor apa saja yang perlu dipertimbangkan dalam desain turbin agar transfer momentum fluida berjalan optimal?

Referensi

  1. Halliday, D., Resnick, R., & Walker, J. (2014). Fundamentals of Physics (10th ed.). John Wiley & Sons.
    โ†’ Sumber utama untuk konsep dasar impuls, momentum, dan hukum kekekalan momentum.
  2. Cengel, Y. A., & Cimbala, J. M. (2018). Fluid Mechanics: Fundamentals and Applications (4th ed.). McGraw-Hill Education.
    โ†’ Menjelaskan analisis aliran fluida, momentum, serta aplikasinya pada sistem energi.

Leave a Reply

Your email address will not be published. Required fields are marked *