ุจูุณูู ู ุงูููููู ุงูุฑููุญูู ููฐูู ุงูุฑููุญููู ู
Perkenalkan nama saya Daffa Abdillah Kurniawan, mahasiswa Teknik Mesin Universitas Indonesia dengan NPM 2306155262.
Konsep Impuls dalam Fisika
Definisi Impuls
Dalam fisika, impuls adalah besaran yang menyatakan pengaruh gaya yang bekerja pada suatu benda selama selang waktu tertentu. Secara matematis, impuls didefinisikan sebagai hasil kali gaya dengan waktu kerjanya. Impuls juga identik dengan perubahan momentum suatu benda.
Dengan kata lain:

di mana:
- JJ = impuls (Nยทs atau kgยทm/s)
- FF = gaya rata-rata (N)
- ฮt\Delta t = selang waktu (s)
- ฮp\Delta p = perubahan momentum (kgยทm/s)
Prinsip Dasar Impuls
- Gaya dan Momentum
Menurut Hukum II Newton, gaya merupakan laju perubahan momentum (F=ฮp/ฮtF = \Delta p / \Delta t). Jika gaya bekerja pada benda dalam waktu tertentu, momentum benda tersebut akan berubah. - Perubahan Momentum
Momentum (pp) didefinisikan sebagai hasil kali massa dan kecepatan (p=mโ vp = m \cdot v). Perubahan kecepatan suatu benda (baik besar maupun arah) akan menimbulkan perubahan momentum. - Impuls sebagai Ukuran Perubahan Momentum
Impuls menunjukkan seberapa besar perubahan momentum terjadi akibat gaya yang bekerja dalam jangka waktu tertentu.
Hubungan Impuls dan Momentum
- Konsep impuls sangat erat kaitannya dengan momentum (p). Momentum adalah besaran vektor yang mengukur tingkat kesulitan untuk mengubah gerak suatu benda, didefinisikan sebagai hasil kali massa (m) dan kecepatan (v).
Menurut Teorema Impuls-Momentum, impuls yang diberikan pada suatu benda sama dengan perubahan momentum benda tersebut.
Rumus Matematis Impuls

Bukan seperti pada teks awal (J = ฮv / ฮt), karena itu keliru. Rumus yang benar melibatkan massa dan perubahan kecepatan, atau gaya dikalikan waktu.
Satuan SI Impuls
- Newton-detik (Nยทs)
- Setara dengan kilogram meter per detik (kgยทm/s)

Contoh Penerapan Impuls dalam Kehidupan Sehari-hari
- Olahraga:
- Dalam sepak bola atau basket, ketika bola dipukul atau dilempar, gaya yang diberikan dalam waktu singkat menghasilkan impuls yang mengubah momentum bola.
- Pada lompat jauh, tolakan kaki ke tanah menghasilkan impuls besar yang mendorong tubuh melompat.
- Keselamatan Lalu Lintas:
- Sabuk pengaman dan airbag berfungsi memperpanjang waktu tumbukan, sehingga gaya rata-rata yang dialami penumpang lebih kecil, meskipun impuls (perubahan momentum) tetap sama.
- Tabrakan Benda:
- Ketika kaca jatuh dan pecah, impuls yang dihasilkan saat menghantam lantai adalah akibat perubahan momentum mendadak dari kecepatan jatuh ke nol.
Contoh Soal
Sebuah bola bermassa 0,5 kg bergerak dengan kecepatan 10 m/s. Bola tersebut ditangkap sehingga berhenti dalam waktu 0,2 s. Hitung impuls dan gaya rata-rata yang dialami bola.
Penyelesaian:
- Massa (m) = 0,5 kg
- Kecepatan awal (vโ) = 10 m/s
- Kecepatan akhir (v) = 0 m/s
- Waktu (ฮt\Delta t) = 0,2 s

Tanda negatif menunjukkan arah gaya berlawanan dengan arah gerak bola.
Kaitan Impuls dengan Turbin dan Pompa dalam Sistem Konversi Energi
Dalam bidang teknik mesin, khususnya pada sistem konversi energi, konsep impuls tidak hanya berlaku pada benda padat, tetapi juga sangat penting dalam mekanika fluida. Turbin dan pompa merupakan dua mesin fluida utama yang prinsip kerjanya berhubungan erat dengan impuls.
1. Impuls pada Turbin
- Prinsip Dasar: Pada turbin (misalnya turbin air atau turbin gas), fluida bergerak dengan kecepatan tertentu menumbuk sudu-sudu turbin. Tumbukan ini menyebabkan perubahan momentum aliran fluida, dan perubahan momentum tersebut menghasilkan gaya yang memutar poros turbin.
- Persamaan impuls-momentum

Contoh: Pada Pelton Wheel (turbin impuls), jet air berkecepatan tinggi diarahkan ke sudu berbentuk mangkok. Perubahan arah aliran (hampir 180ยฐ) menghasilkan perubahan momentum maksimum, sehingga gaya impuls yang ditransfer ke sudu sangat besar.
2. Impuls pada Pompa
- Prinsip Dasar: Pada pompa sentrifugal, sudu berputar memberikan energi kinetik kepada fluida. Energi ini meningkatkan momentum fluida, yang kemudian diubah menjadi energi tekanan saat keluar dari volute pompa.
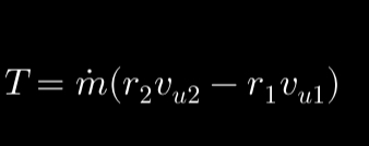
- Persamaan Impuls-Momentum (Hukum Euler untuk mesin fluida):
- Interpretasi: Persamaan ini menunjukkan bahwa torsi (dan daya) pada pompa berasal dari perubahan momentum sudut fluida. Artinya, semakin besar perubahan momentum fluida, semakin besar impuls yang diberikan pada fluida oleh pompa.

3. Relevansi dalam Sistem Konversi Energi
Keduanya menunjukkan bagaimana impuls dan momentum fluida menjadi inti dari prinsip kerja mesin konversi energi.
Kesimpulan
Impuls adalah konsep penting dalam fisika yang menjelaskan bagaimana gaya dan waktu bekerja bersama-sama untuk mengubah momentum benda. Pemahaman ini penting dalam berbagai bidang, mulai dari olahraga, rekayasa keselamatan, hingga mekanika teknik.
Pada turbin, energi fluida (potensial, tekanan, atau kinetik) dikonversi menjadi energi mekanik melalui impuls.
Pada pompa, energi mekanik dari poros motor/engine dikonversi menjadi energi fluida melalui pemberian impuls pada aliran.
Referensi
- Halliday, D., Resnick, R., & Walker, J. (2014). Fundamentals of Physics (10th ed.). Wiley.
- Serway, R. A., & Jewett, J. W. (2018). Physics for Scientists and Engineers (10th ed.). Cengage Learning.
- Giancoli, D. C. (2005). Physics: Principles with Applications (6th ed.). Pearson.