Muhammad Resya Saputra – 2506565471
Interpolasi adalah metode matematika untuk memperkirakan nilai fungsi di antara titik-titik data yang sudah diketahui. Dalam rekayasa (engineering), interpolasi sering digunakan untuk mendapatkan nilai sifat material, parameter termodinamika, atau variabel proses ketika data hanya tersedia dalam bentuk tabel diskrit.
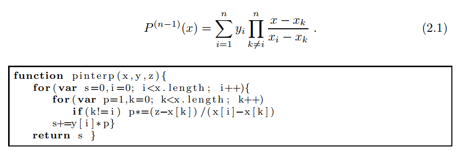
Polynomial interpolation adalah metode interpolasi di mana data (x i โ ,y i โ ) diaproksimasi dengan polinomial orde- n. Jika ada n+1 titik data, maka kita dapat membangun polinomial P n โ (x) orde- n yang melalui semua titik tersebut. Salah satu bentuk terkenal adalah Lagrange interpolation:

Kelebihan: Dapat memberikan hasil akurat jika jumlah titik sedikit. Kekurangan: Jika jumlah titik besar, polinomial orde tinggi bisa menghasilkan osilasi berlebihan (Rungeโs phenomenon). Perhitungan menjadi lebih rumit untuk dataset besar.
Untuk mengatasi kelemahan interpolasi polinomial orde tinggi, digunakan spline interpolation. Spline adalah sekumpulan polinomial rendah orde (biasanya orde 1โ3) yang disusun pada setiap interval antar titik data, dengan syarat fungsi interpolasi bersifat halus (kontinu, dan biasanya juga turunan pertamanya kontinu). Spline terbagi menjadi beberapa jenis sesuai orde polinomialnya.
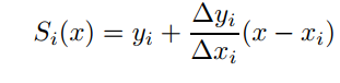
- Linear interpolation adalah bentuk spline orde-1. Setiap interval antar dua titik data dihubungkan dengan garis lurus. Jika diketahui dua titik (x 1 โ ,y 1 โ ) dan (x 2 โ ,y 2 โ ), maka interpolasi linier pada x adalah:

Kelebihan: sederhana dan cepat. Kekurangan: hasil tidak halus pada titik sambungan (turunan tidak kontinu).
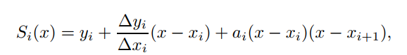
2. Quadratic spline menggunakan polinomial orde-2 pada setiap interval. Bentuk umum pada interval [x i โ ,x i+1 โ ]:
Kondisi yang dipenuhi: Fungsi spline melalui semua titik data. Fungsi kontinu di setiap sambungan. Biasanya salah satu syarat tambahan diberikan (misalnya turunan pertama pada ujung tertentu ditentukan).

Kelebihan: lebih halus daripada linear spline. Kekurangan: implementasi lebih rumit, dan hasil bisa kurang stabil dibanding cubic spline.
3. Cubic spline adalah metode interpolasi yang paling banyak digunakan dalam teknik. Setiap interval dihubungkan dengan polinomial orde-3:

Kondisi yang dipenuhi: Fungsi spline melalui semua titik data. Fungsi kontinu pada semua titik. Turunan pertama dan kedua kontinu di titik sambungan. Kondisi batas ditentukan
Kelebihan: hasil interpolasi sangat halus, cocok untuk data teknik. Kekurangan: lebih kompleks secara komputasi dibanding linear dan quadratic spline.
Berikut aplikasi interpolasi menggunakan Linear Interpolation:
Aplikasi Interpolasi Linear
Hitung nilai koefisien perpindahan panas (h) pada kecepatan tertentu.