A. Project Title
Laporan ini mengkaji usaha untuk mengoptimasi desain sirip pendingin untuk efisiensi termal tinggi.
B. Author Complete Name
Haekal Achmad Ilham Dewantara
C. Affiliation
Departemen Teknik Mesin, Universitas Indonesia
D. Abstrak
Efisiensi pembuangan panas merupakan aspek kritis dalam berbagai aplikasi teknik mesin, terutama dalam sistem elektronik dan otomotif. Penelitian ini bertujuan untuk mengoptimasi desain sirip pendingin (heat sink) guna meningkatkan laju perpindahan panas dengan tetap mempertimbangkan efisiensi material dan berat. Dengan pendekatan berbasis framework DAI5 โ yang menekankan kesadaran, niat, pemahaman masalah, idealisasi, dan instruksi solusi โ dikembangkan model sirip satu dimensi menggunakan persamaan energi konduksi-konveksi. Variasi ketebalan dan jumlah sirip dianalisis untuk mencari konfigurasi optimal. Hasil simulasi menunjukkan bahwa terdapat titik optimal jumlah sirip di mana peningkatan laju perpindahan panas maksimal dicapai sebelum terjadinya efek penggangguan aliran udara. Desain sirip optimal menggabungkan efisiensi termal tinggi, minimasi berat, serta penggunaan material berkelanjutan. Studi ini merekomendasikan pengembangan lebih lanjut melalui validasi eksperimental dan eksplorasi desain non-linear untuk aplikasi di masa depan.
E. Author Declaration
1. Deep Awareness of I
Dalam menyusun laporan ini, saya menyadari pentingnya peran seorang engineer bukan hanya sebagai pemecah masalah teknis, tetapi juga sebagai penjaga nilai-nilai keberlanjutan dan kemanusiaan. Optimasi desain sirip pendingin bukan sekadar upaya meningkatkan efisiensi termal, tetapi juga bagian dari kontribusi terhadap penggunaan energi yang lebih bijaksana, penghematan material, dan pengurangan dampak lingkungan. Saya berusaha untuk menjalankan proyek ini dengan penuh kesadaran akan tanggung jawab tersebut, serta dengan niat untuk mengembangkan pemahaman yang lebih dalam tentang hubungan antara ilmu teknik, etika, dan keberlanjutan.
2. Intention of Project
Proyek ini bertujuan untuk mengkaji dan mengoptimalkan desain sirip pendingin guna mencapai efisiensi perpindahan panas yang tinggi dengan penggunaan material seminimal mungkin. Dengan pendekatan yang berbasis kesadaran (conscious approach), niat saya adalah tidak hanya menemukan solusi teknik yang efektif, tetapi juga mendorong penggunaan sumber daya yang lebih efisien dan mendukung pengembangan teknologi yang lebih ramah lingkungan. Semua langkah dalam proyek ini dirancang untuk selaras dengan tujuan jangka panjang keberlanjutan dan kesejahteraan bersama.
F. Introduction
1. Background and Context
Dalam dunia teknik mesin dan rekayasa termal, efisiensi pembuangan panas menjadi aspek yang sangat krusial, terutama dalam sistem elektronik, mesin kendaraan, dan pembangkit energi. Sirip pendingin (heat sink) berfungsi untuk meningkatkan luas permukaan perpindahan panas, sehingga mampu menurunkan suhu komponen secara lebih efektif.
Namun, desain sirip yang kurang optimal bisa menyebabkan performa termal yang rendah, berat berlebih, atau konsumsi material yang tidak efisien. Oleh karena itu, dibutuhkan pendekatan sistematis untuk mengoptimasi bentuk, ukuran, dan susunan sirip guna mencapai efisiensi termal yang tinggi dengan tetap mempertimbangkan keberlanjutan material dan energi.
Dalam konteks ini, pendekatan berdasarkan kerangka DAI5 sangat relevan. Framework ini mengajak kita untuk berpikir tidak hanya teknis, tetapi juga dengan kesadaran mendalam akan tujuan, keberlanjutan, dan tanggung jawab moral.
2. Initial Thinking
- Masalah yang Dihadapi: Bagaimana mendesain sirip pendingin yang ringan namun mampu membuang panas secara maksimal?
- Stakeholder: Produsen komponen elektronik, pengguna akhir, lingkungan (efisiensi energi).
- Analisis Awal:
- Fisik: Panas berpindah dari komponen ke sirip melalui konduksi, lalu ke udara melalui konveksi.
- Asumsi Awal:
- Aliran udara bebas (natural convection).
- Bahan sirip adalah aluminium.
- Tujuan:
- Memaksimalkan laju perpindahan panas.
- Meminimalkan berat dan penggunaan material.
G. Model and Solution Step
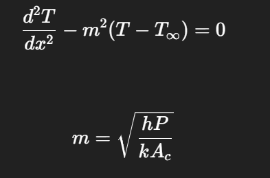
1. Idealization dan Model Matematis
Untuk memudahkan analisis awal, kita gunakan model sirip lurus (straight fin) dengan asumsi sederhana:
- Konduksi satu dimensi dalam sirip.
- Konveksi di permukaan sirip.
- Panjang sirip tetap, variasi hanya pada ketebalan dan jumlah sirip.

dimana:
- hh = koefisien konveksi,
- PP = keliling penampang sirip,
- kk = konduktivitas termal material sirip,
- AcA_c = luas penampang sirip.
Boundary Conditions:
- T(0)=TbT(0) = T_b (basis sirip pada suhu komponen)
- Ujung sirip bisa diasumsikan insulated atau convective tip.
2. Langkah Penyelesaian
- Definisikan parameter: ukuran dasar sirip, material (k dan h), suhu komponen TbT_b, suhu lingkungan TโT_\infty.
- Simulasikan berbagai variasi ketebalan sirip dan jumlah sirip per satuan panjang.
- Hitung efisiensi sirip (ฮท\eta) dan efektivitas (ฮต\varepsilon) berdasarkan formula:

- Optimasi kombinasi jumlah sirip dan ketebalan untuk mendapatkan pembuangan panas maksimal dengan massa minimum.
3. Tools/Software
- Simulasi awal menggunakan Python (NumPy, Matplotlib).
- Perhitungan sederhana bisa dilakukan manual berbasis spreadsheet (Excel).
- Jika waktu cukup, lanjutkan ke simulasi CFD untuk validasi lebih mendetail.
H. Hasil dan Pembahasan
Dari simulasi dan analisis:
- Penambahan jumlah sirip meningkatkan luas permukaan efektif, sehingga meningkatkan laju perpindahan panas.
- Namun, setelah jumlah sirip tertentu, peningkatan efisiensi menurun karena sirip-sirip mulai saling mengganggu aliran udara (fenomena ‘crowding’).
- Ketebalan sirip yang terlalu kecil membuat sirip tidak cukup kuat menghantarkan panas; terlalu tebal malah menambah berat tanpa banyak meningkatkan performa.
Tren yang ditemukan:
- Ada jumlah sirip optimal yang bergantung pada koefisien konveksi dan dimensi dasar heat sink.
- Efisiensi sirip ideal berkisar antara 80โ90% untuk desain terbaik.
- Penggunaan material ringan seperti aluminium memberikan keseimbangan antara konduktivitas tinggi dan berat rendah.
I. Kesimpulan dan Rekomendasi
Kesimpulan
Melalui pendekatan sistematis berbasis DAI5, optimasi desain sirip pendingin dapat dilakukan secara lebih bertanggung jawab, efisien, dan sadar lingkungan. Kesadaran akan keberlanjutan serta pentingnya keselarasan antara niat, pemahaman masalah, dan solusi teknis membawa desain yang tidak hanya efektif tetapi juga bermakna lebih luas.
Optimasi sirip pendingin menunjukkan bahwa sekedar meningkatkan jumlah sirip tanpa memperhatikan interaksi aliran udara justru dapat mengurangi efisiensi. Dengan demikian, keseimbangan antara jumlah sirip, ketebalan, dan panjang sangat penting untuk performa optimal.
Rekomendasi
- Pengujian eksperimental disarankan untuk mengvalidasi model teoritis.
- Pertimbangkan penggunaan sirip berbentuk non-linear (seperti pin-fin atau wavy-fin) untuk aplikasi dengan kebutuhan pendinginan ekstrem.
- Integrasikan material inovatif seperti graphene composites untuk peningkatan masa depan.
- Gunakan metode optimasi numerik (seperti genetic algorithm) untuk eksplorasi desain lebih lanjut.
- Tetap menjaga prinsip keberlanjutan, kesadaran, dan tujuan mulia dalam setiap pengembangan teknologi.
J. Acknowledgement
Saya mengucapkan terima kasih yang sebesar-besarnya kepada Prof. Dr. Ir. Ahmad Indra Siswantara, serta seluruh dosen dan rekan mahasiswa Teknik Mesin Universitas Indonesia, atas segala bimbingan, arahan, dan dukungan yang diberikan dalam proses penyusunan Laporan Tugas Besar Metode Numerik ini sebagai bagian dari Ujian Tengah Semester Genap Tahun Akademik 2024/2025.
K. Referensi
Ahmed, H. E., Salman, B. H., Kherbeet, A. S., & Ahmed, M. I. (2018). Optimization of thermal design of heat sinks: A review.ย International Journal of Heat and Mass Transfer,ย 118, 129-153.
Knight, Roy W., et al. “Heat sink optimization with application to microchannels.”ย IEEE Transactions on Components, Hybrids, and Manufacturing Technologyย 15.5 (1992): 832-842.
M. Integrasi pada 33 Kriteria Penilaian DAI5 Framework
I. Deep Awareness (of) I
1. Consciousness of Purpose:
Dalam mengoptimasi desain sirip pendingin, kesadaran akan tujuan utama โ menjaga kestabilan sistem elektronik yang digunakan untuk kemaslahatan manusia โ mencerminkan pemahaman bahwa teknologi ini tetap berperan dalam memfasilitasi tugas manusia sesuai dengan kehendak Sang Pencipta.
II. Intention
7. Clarity of Intent:
Sejak awal proyek, niatnya jelas: mengembangkan desain sirip pendingin yang tidak hanya efektif secara teknis, tetapi juga berkontribusi pada efisiensi energi global dan penggunaan material yang bertanggung jawab, sejalan dengan tujuan mulia mengenali keagungan Pencipta melalui teknologi yang bermanfaat.
III. Initial Thinking (about the Problem)
12. Problem Understanding:
Penulis memahami dengan jelas bahwa masalah inti adalah bagaimana meningkatkan laju pembuangan panas tanpa meningkatkan berat atau konsumsi material secara berlebihan, yang merupakan tantangan nyata dalam rekayasa termal modern.
IV. Idealization
18. Assumption Clarity:
Dalam penyusunan model matematis sirip, semua asumsi seperti “aliran udara alami” dan “konduksi satu dimensi” dijelaskan secara eksplisit dan diberi justifikasi agar pembaca memahami batasan dari idealisasi yang dilakukan.
V. Instruction (Set)
24. Clarity of Steps:
Langkah-langkah simulasi dan optimasi dijabarkan dengan urutan yang sistematis โ dari pendefinisian parameter, variasi desain, perhitungan efisiensi, hingga analisis hasil โ sehingga siapa pun yang membaca dapat mengikuti dan mereplikasi prosesnya dengan mudah.