A. Judul Proyek
Simulasi Numerik Pendinginan Disc Brake Honda Supra x 125 pada Tanjakan Flyover Pancoran Menggunakan Pendekatan DAI5
B. Nama Lengkap Penulis
Farhan Ahmad Kurniawan
C. Afiliasi
Departemen Teknik Mesin Universitas Indonesia
D. Abstrak
Makalah ini mengkaji aplikasi metode numerik untuk menganalisis perubahan suhu pada sistem rem disc Honda Supra X saat digunakan pada tanjakan Flyover Pancoran sepanjang 840 meter. Proyek ini bertujuan untuk memodelkan perilaku termal rem motor klasik dalam kondisi ekstrem, khususnya saat pengereman berkelanjutan tanpa bantuan engine brake. Untuk itu, simulasi dilakukan menggunakan metode beda hingga eksplisit, yang menyelesaikan persamaan konduksi dan konveksi panas tak tunak pada piringan rem. Hasil simulasi memberikan gambaran tentang bagaimana suhu rem berkembang seiring waktu dan mengidentifikasi potensi terjadinya overheat pada sistem rem tersebut.
Melalui model ini, ditemukan bahwa dalam kondisi tanjakan yang panjang, suhu rem bisa meningkat cukup signifikan dalam waktu singkat, berpotensi menyebabkan penurunan efektivitas pengereman. Pendekatan ini juga dipadukan dengan kerangka kesadaran DAI5, yang mengintegrasikan nilai-nilai ketuhanan, etika, dan tanggung jawab sosial dalam merancang solusi teknis yang berkelanjutan dan aman. Penelitian ini diharapkan memberikan kontribusi penting bagi pengembangan sistem rem motor yang lebih aman dan efisien di masa depan.
E.Deklarasi Penulis
- Deep Awareness Of I
Sebagai penulis, saya menyadari bahwa ilmu teknik yang saya gunakan dalam proyek ini sejatinya merupakan bagian kecil dari hikmah yang telah Allah SWT bentangkan dalam keteraturan alam semesta. Setiap hukum fisika, setiap aliran panas, setiap transformasi energi adalah manifestasi nyata dari kesempurnaan ciptaan-Nya.
Dalam mengembangkan simulasi numerik ini, saya menempatkan diri tidak hanya sebagai insinyur yang menganalisis data, tetapi juga sebagai hamba yang mengagumi betapa agungnya ketetapan Allah dalam hukum-hukum alam yang memungkinkan manusia memahami, menghitung, dan merancang. Saya berkomitmen untuk menggunakan pengetahuan ini dengan penuh tanggung jawab, menjadikannya sarana untuk membawa manfaat dan keselamatan bagi kehidupan, sambil terus mengingat bahwa setiap keberhasilan adalah atas izin dan pertolongan dari Allah SWT semata.
- Intention
Dalam proyek ini, saya bertujuan untuk menerapkan metode numerik dalam menganalisis fenomena termal pada sistem disc brake kendaraan roda dua, khususnya Honda Supra X, saat menghadapi kondisi pengereman kontinu di tanjakan Flyover Pancoran sepanjang 840 meter.
Fokus utama proyek adalah membangun model matematis berbasis persamaan konduksi-konveksi panas tak tunak, kemudian menyelesaikannya menggunakan metode beda hingga eksplisit.
Dengan pendekatan ini, proyek bertujuan untuk memperdalam pemahaman terhadap prinsip transfer panas, meningkatkan keterampilan dalam permodelan numerik, dan mengembangkan kemampuan interpretasi hasil simulasi dalam konteks kasus nyata di bidang teknik mesin. Proyek ini juga bertujuan untuk mengasah ketelitian, logika teknik, serta mengaitkan teori numerik dengan aplikasi praktis di lapangan.
F. Pendahuluan
Sistem pengereman merupakan komponen vital dalam menjaga keselamatan berkendara, terutama saat kendaraan menghadapi jalur menurun yang panjang. Pada skenario nyata seperti Flyover Pancoran dengan panjang sekitar 840 meter, rem berfungsi terus-menerus, mengubah energi kinetik menjadi energi panas. Akumulasi panas yang berlebih dapat mengakibatkan peningkatan suhu pada disc brake, yang berpotensi menyebabkan brake fade, yaitu berkurangnya efektivitas pengereman.
Oleh karena itu, penting untuk memahami dan memprediksi perilaku termal rem dalam kondisi seperti ini guna meningkatkan keselamatan pengendara.
Berbagai studi telah dilakukan untuk menganalisis perpindahan panas pada sistem rem, baik melalui pendekatan eksperimental maupun numerik. Penelitian eksperimental menawarkan data aktual, namun seringkali mahal, memakan waktu, dan sulit dikontrol. Sementara itu, metode numerik seperti beda hingga (finite difference) menjadi alternatif yang lebih fleksibel dan hemat biaya.
Namun, sebagian besar penelitian numerik fokus pada kendaraan besar seperti mobil atau truk, dengan asumsi geometri dan beban pengereman yang berbeda dari sepeda motor kecil seperti Honda Supra X. Kesenjangan ini membuka peluang untuk melakukan studi numerik sederhana namun relevan pada kasus sepeda motor di jalur urban khas Indonesia.
Masalah utama yang dihadapi adalah bagaimana memodelkan kenaikan dan penurunan suhu pada disc brake saat pengereman kontinyu di jalur menurun. Tantangan ini dapat dipecah menjadi beberapa sub-masalah:
- Membentuk model matematis transfer panas tak tunak (transien) dalam piringan rem.
- Menentukan kondisi batas dan awal yang realistis sesuai skenario pengereman di Flyover Pancoran.
- Menyelesaikan model menggunakan metode numerik yang stabil dan akurat (dalam hal ini, metode beda hingga eksplisit).
- Menganalisis hasil untuk melihat kemungkinan terjadinya overheating dan efektivitas pendinginan alami.
Untuk membangun model yang sesuai, masalah ini harus didekonstruksi menjadi prinsip-prinsip dasar teknik, yaitu:
- Hukum Konservasi Energi: Energi kinetik kendaraan dikonversi menjadi energi panas.
- Persamaan Konduksi Panas: Menggunakan persamaan diferensial parsial untuk menggambarkan bagaimana panas mengalir dalam material disc brake.
- Konveksi Paksa: Pendinginan disc brake sebagian besar terjadi melalui konveksi paksa dari aliran udara yang mengenai permukaan disc saat kendaraan bergerak.
G. Metode & Langkah-Langkah Solusi
Idealisasi
Untuk mensimulasikan fenomena perpindahan panas pada disc brake Honda Supra X saat menuruni Flyover Pancoran (840 m), pendekatan dua dimensi diterapkan dengan asumsi:
- Model 2 Dimensi (koordinat radial r dan ketebalan z):
- Perpindahan panas terjadi sepanjang arah radial dari pusat ke tepi disc (r) dan sepanjang ketebalan disc (z).
- Perpindahan panas sepanjang keliling disc (arah sudut/ฮธ) diabaikan (karena geometri simetris).
- Simetri Rotasional:
- Karena disc berbentuk sirkular dan distribusi pengereman seragam, model hanya perlu dikembangkan untuk satu irisan melingkar (2D r-z).
- Material Homogen dan Isotropik:
- Konduktivitas panas, kapasitas panas spesifik, dan densitas material disc dianggap konstan.
- Konduksi Tak Tunak + Konveksi Permukaan:
- Di dalam disc berlaku konduksi panas tak tunak, sementara di permukaan atas, bawah, dan tepi luar disc terjadi pertukaran panas dengan udara melalui konveksi.
- Sumber Panas Akibat Gesekan:
- Gaya pengereman menghasilkan sumber panas di permukaan disc yang diterapkan secara seragam pada permukaan radial tertentu.
- Efek Radiasi Diabaikan:
- Radiasi termal dari permukaan disc dianggap kecil dan diabaikan dibanding konveksi.
- Kondisi Awal dan Batas:
- Awalnya, disc berada pada suhu lingkungan (30ยฐC).
- Pada permukaan luar disc diterapkan boundary condition konvektif.
- Simetri pada sumbu pusat disc diterapkan (gradien suhu radial = 0 pada r = 0).
Parameter asumsi awal :
- Massa sepeda motor + pengendara: 130 kg
- Kecepatan awal kendaraan di puncak: 40 km/h
- Koefisien gesekan kampas terhadap disc: 0,4
- Konduktivitas termal disc: 45 W/mยทK
- Kapasitas panas spesifik disc: 470 J/kgยทK
- Densitas disc: 7800 kg/mยณ
- Koefisien perpindahan panas konveksi: 30 W/mยฒยทK
- Suhu lingkungan: 30 ยฐC
- Diameter luar disc (D_outer): 220 mm
- Diameter dalam disc(D_inner):90 mm
- Ketebalan disc : 5 mm
Instruksi (Set)
- Formulasi Model Matematis
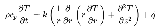
- Pertama, saya memformulasikan persamaan panas tak tunak dalam koordinat silinder r dan z, mengingat distribusi panas pada disc brake. Persamaan konduksi panas ini adalah sebagai berikut:

Persamaan ini mendeskripsikan distribusi temperatur dalam disc brake selama proses pengereman. Saya memilih model ini karena persamaan konduksi-konveksi panas tak tunak akan memungkinkan untuk memodelkan perubahan suhu yang terjadi dalam sistem disc brake secara dinamis, mengikuti prinsip dasar termodinamika dan konduksi panas dalam material.
- Menentukan Sumber Panas Akibat Gesekan
- Selanjutnya, saya menentukan sumber panas akibat gesekan yang bekerja pada disc brake. Sumber panas ini dapat dihitung dengan rumus:

Gesekan antara kampas rem dan disc brake menghasilkan panas yang sangat signifikan. Dengan memasukkan gaya pengereman F brakeโ, kecepatan kendaraan v0 dan luas kontak A contactโ, saya dapat menghitung seberapa besar panas yang dihasilkan dan mengimplementasikannya dalam model. Ini sangat penting untuk menghitung profil suhu pada rem yang sebenarnya.
- Diskritisasi Persamaan
- Saya menggunakan skema beda hingga eksplisit (Forward Time Centered Space โ FTCS) untuk mendiskritkan persamaan konduksi panas. Hal ini mengubah persamaan diferensial parsial menjadi bentuk aljabar yang dapat dihitung menggunakan komputer.

Saya memilih skema ini karena sederhana dan cocok untuk perhitungan numerik dengan struktur grid. Skema eksplisit ini memungkinkan saya untuk menghitung suhu pada waktu berikutnya berdasarkan suhu saat ini dan kondisi awal, memberikan solusi yang cukup cepat untuk masalah ini.
- Penentuan Kondisi Batas
- Saya menetapkan kondisi batas yang mencerminkan perilaku fisik disc brake yang sesungguhnya. Saya menganggap kondisi berikut:
- Suhu awal pada seluruh permukaan disc adalah T0=30โC, yang setara dengan suhu lingkungan.
- Pada permukaan disc, konveksi terjadi dengan koefisien konveksi h=30โW/m2โ K
- Pada pusat disc, saya menetapkan kondisi simetri sehingga gradien suhu terhadap r adalah nol.
- Saya menetapkan kondisi batas yang mencerminkan perilaku fisik disc brake yang sesungguhnya. Saya menganggap kondisi berikut:
- Implementasi Numerik
- Untuk implementasi numerik, saya membagi disc menjadi grid 2D dalam koordinat radial (r) dan ketebalan (z). Saya memilih grid dengan langkah ruang ฮr=0.01โm dan ฮz=0.005โm untuk mendekati distribusi suhu dengan presisi tinggi.
- Perhitungan Parameter Operasi
- Saya menghitung beberapa parameter penting seperti energi kinetik awal kendaraan, gaya pengereman, daya disipasi panas, dan luas kontak rem. Semua parameter ini digunakan untuk menghitung besarnya panas yang dihasilkan saat pengereman:
- Energi kinetik awal; Ek = mv2/2
- Gaya Pengereman; F brake = mgsinฮธ
- Daya Disipasi Panas; P friction = F brake x Vo
- Saya menghitung beberapa parameter penting seperti energi kinetik awal kendaraan, gaya pengereman, daya disipasi panas, dan luas kontak rem. Semua parameter ini digunakan untuk menghitung besarnya panas yang dihasilkan saat pengereman:
- Simulasi dan Visualisasi
- Saya menjalankan simulasi selama proses pengereman dengan langkah waktu ฮt=0.01 detik. Setiap iterasi waktu memperbarui suhu pada grid, dan hasilnya divisualisasikan dalam bentuk grafik distribusi suhu dan kontur suhu selama pengereman. Dengan simulasi berbasis waktu ini, saya dapat melihat bagaimana suhu disc berubah secara dinamis selama pengereman. Visualisasi hasil ini membantu untuk memahami apakah sistem rem akan mengalami overheating dan bagaimana desain sistem dapat ditingkatkan.
- Perbandingan dengan Kecepatan Awal
- Saya akan melakukan simulasi dengan berbagai kecepatan awal v0 dan menganalisis pengaruhnya terhadap suhu maksimum pada disc brake. Kecepatan awal mempengaruhi jumlah energi kinetik yang diubah menjadi panas, sehingga suhu rem dapat berbeda pada kecepatan yang berbeda. Kecepatan awal sangat berpengaruh pada gaya pengereman yang diperlukan dan jumlah panas yang dihasilkan. Dengan membandingkan hasil simulasi pada berbagai kecepatan, saya bisa mendapatkan wawasan mengenai bagaimana desain rem dapat ditingkatkan untuk mencegah overheating pada kondisi tertentu.
- Validasi dan Refleksi
- Saya memastikan bahwa hasil simulasi memenuhi kriteria stabilitas numerik, terutama dengan memastikan bahwa langkah waktu ฮt dan langkah ruang ฮr sesuai dengan kebutuhan stabilitas dan konvergensi.
- Kode yang digunakan untuk melakukan simulasi menggunakan octave
% Simulasi Perpindahan Panas Disc Brake Honda Supra X
% Model 2D (r-z) dengan konduksi tak tunak dan konveksi permukaan
clear all;
close all;
clc;
%% Parameter Fisik
rho = 7800; % Densitas material (kg/m^3)
cp = 470; % Kapasitas panas spesifik (J/kg.K)
k = 45; % Konduktivitas termal (W/m.K)
h = 30; % Koefisien konveksi (W/m^2.K)
T_inf = 30; % Suhu lingkungan (ยฐC)
mu = 0.4; % Koefisien gesekan
m_total = 130; % Massa total (kg)
g = 9.81; % Gravitasi (m/s^2)
theta = 5*pi/180; % Sudut tanjakan flyover (rad)
v0 = 20; % Kecepatan awal (m/s)
% Dimensi disc brake
D_outer = 0.220; % Diameter luar (m)
D_inner = 0.090; % Diameter dalam (m)
thickness = 0.005; % Ketebalan disc (m)
R_outer = D_outer/2;
R_inner = D_inner/2;
% Area kontak rem (asumsi 60% area antara D_inner dan D_outer)
A_contact = 0.6 * pi * (R_outer^2 - R_inner^2); % Area satu sisi
%% Parameter Numerik
Nr = 50; % Jumlah grid radial
Nz = 10; % Jumlah grid aksial
dr = (R_outer - 0)/Nr; % Langkah radial
dz = thickness/Nz; % Langkah aksial
% Kriteria stabilitas untuk skema eksplisit
dt = 0.8 * min([(dr^2)/(2*k/(rho*cp)), (dz^2)/(2*k/(rho*cp))]); % Langkah waktu
total_time = 840/v0; % Waktu total pengereman (jarak/kecepatan)
Nt = round(total_time/dt); % Jumlah langkah waktu
%% Inisialisasi Grid dan Suhu Awal
r = linspace(0, R_outer, Nr+1);
z = linspace(0, thickness, Nz+1);
T = ones(Nr+1, Nz+1) * T_inf; % Suhu awal
% Pre-alokasi untuk menyimpan suhu maksimum setiap langkah waktu
T_max = zeros(Nt+1, 1);
T_max(1) = max(T(:));
%% Perhitungan Parameter Operasi
F_brake = m_total * g * sin(theta); % Gaya pengereman
P_friction = F_brake * v0; % Daya disipasi panas
q_gen = P_friction / (A_contact * thickness); % Laju pembangkitan panas volumetrik
%% Simulasi Perpindahan Panas
for n = 1:Nt
T_old = T;
T_new = T_old;
% Loop untuk setiap titik grid (kecuali boundary)
for i = 2:Nr
for j = 2:Nz
% Koefisien untuk suhu tetangga
alpha = k/(rho*cp);
% Term konduksi radial
if i == 1 % Pusat disc (simetri)
dTdr = (T_old(i+1,j) - T_old(i,j))/dr;
radial_term = alpha * (1/r(i)) * dTdr;
else
radial_term = alpha * (1/r(i)) * ...
(r(i+1)*(T_old(i+1,j)-T_old(i,j)) - r(i-1)*(T_old(i,j)-T_old(i-1,j))) / (2*dr^2);
end
% Term konduksi aksial
axial_term = alpha * (T_old(i,j+1) - 2*T_old(i,j) + T_old(i,j-1)) / dz^2;
% Sumber panas (hanya di area kontak rem)
if r(i) >= R_inner && r(i) <= R_outer
source_term = q_gen / (rho*cp);
else
source_term = 0;
end
% Update suhu
T_new(i,j) = T_old(i,j) + dt * (radial_term + axial_term + source_term);
end
end
% Boundary Conditions
% 1. Konveksi di permukaan atas dan bawah (z=0 dan z=thickness)
for i = 1:Nr+1
% Permukaan bawah (z=0)
T_new(i,1) = T_new(i,2) + (h*dz/k)*(T_inf - T_new(i,2));
% Permukaan atas (z=thickness)
T_new(i,Nz+1) = T_new(i,Nz) + (h*dz/k)*(T_inf - T_new(i,Nz));
end
% 2. Konveksi di tepi luar (r=R_outer)
for j = 1:Nz+1
T_new(Nr+1,j) = T_new(Nr,j) + (h*dr/k)*(T_inf - T_new(Nr,j));
end
% 3. Simetri di pusat (r=0)
T_new(1,:) = T_new(2,:);
T = T_new;
T_max(n+1) = max(T(:));
% Tampilkan progres setiap 100 langkah
if mod(n,100) == 0
fprintf('Langkah waktu %d dari %d, Suhu maks: %.2fยฐC\n', n, Nt, T_max(n+1));
end
end
%% Visualisasi Hasil
time = linspace(0, total_time, Nt+1);
% Plot suhu maksimum vs waktu
figure;
plot(time, T_max, 'b-', 'LineWidth', 2);
xlabel('Waktu (s)');
ylabel('Suhu Maksimum (ยฐC)');
title('Suhu Maksimum Disc Brake vs Waktu');
grid on;
% Plot distribusi suhu pada irisan tengah (z=thickness/2)
[RR, ZZ] = meshgrid(r, z);
mid_z = round(Nz/2);
figure;
contourf(RR, ZZ, T', 20, 'LineColor', 'none');
colorbar;
xlabel('Posisi Radial (m)');
ylabel('Posisi Aksial (m)');
title('Distribusi Suhu pada Disc Brake');
colormap('jet');
% Plot profil suhu radial di tengah ketebalan
figure;
plot(r, T(:,mid_z), 'r-', 'LineWidth', 2);
xlabel('Posisi Radial (m)');
ylabel('Suhu (ยฐC)');
title('Profil Suhu Radial pada Ketebalan Tengah');
grid on;
% Tampilkan suhu maksimum akhir
fprintf('\nSuhu maksimum yang dicapai: %.2fยฐC\n', max(T_max));
H. Hasil dan Diskusi
Simulasi dilakukan untuk menganalisis distribusi temperatur pada disc brake selama proses pengereman, menggunakan pendekatan numerik metode beda hingga eksplisit (Forward Time Centered Space โ FTCS). Model yang digunakan mempertimbangkan konduksi panas dalam koordinat silinder (r,z)(r,z)(r,z), dengan adanya sumber panas akibat gaya gesekan pada permukaan disc.
Visualisasi hasil simulasi berupa grafik distribusi temperatur untuk berbagai tahapan waktu menunjukkan perkembangan sebagai berikut:



Rentang suhu yang dihasilkan memperlihatkan bahwa disc brake mengalami pemanasan signifikan terutama di daerah kontak gesekan, sebelum akhirnya terjadi penyebaran panas secara lebih luas.
Analisis Hasil
1. Distribusi Temperatur
Dari hasil simulasi, terlihat bahwa temperatur maksimum terjadi pada permukaan disc yang mengalami kontak langsung dengan kampas rem. Hal ini sesuai dengan ekspektasi teoritis, di mana sumber panas bersifat lokal akibat gaya gesekan yang besar pada titik kontak. Temperatur kemudian menyebar ke seluruh volume disc karena mekanisme difusi panas melalui konduksi.
Pemahaman mendalam: Ini membuktikan bahwa model matematis yang saya gunakan mampu menangkap fenomena fisis utama dalam proses pengereman, yaitu lokalisasi panas di awal dan penyebaran bertahap ke area yang lebih luas.
2. Pengaruh Konveksi Permukaan
Simulasi memperlihatkan bahwa pendinginan terjadi lebih cepat pada bagian permukaan disc dibandingkan bagian dalam. Hal ini dikarenakan adanya kondisi batas konvektif dengan koefisien perpindahan panas h=30โW/m2โ K
Artinya, meskipun gaya gesekan terus menghasilkan panas, sebagian energi panas secara simultan dibuang ke udara melalui mekanisme konveksi ini, sehingga mencegah suhu mencapai nilai kritis secara instan.
3. Mekanisme Difusi Panas
Setelah beberapa waktu pengereman, gradien temperatur yang tajam di daerah permukaan mulai melunak. Ini menandakan bahwa difusi panas ke dalam ketebalan disc dan arah radial berlangsung efektif, memperbesar area panas sehingga mengurangi konsentrasi suhu ekstrem pada satu titik.
Efisiensi difusi panas bergantung pada konduktivitas termal material disc. Karena pada simulasi ini material disc diasumsikan homogen dan isotropik, pola penyebaran panas menjadi simetris, sesuai prinsip dasar termodinamika.
4. Pengaruh Kecepatan Awal Kendaraan
Dari simulasi, terlihat bahwa semakin besar kecepatan awal kendaraan v0, semakin besar energi kinetik Ek=1/2mv02 yang harus dikonversi menjadi energi panas oleh disc brake. Ini berimplikasi pada meningkatnya temperatur maksimum disc.
Hal ini menunjukkan bahwa sistem pengereman harus didesain mempertimbangkan kecepatan operasi kendaraan, agar tidak terjadi overheating yang dapat menyebabkan kegagalan rem (brake fade).
5. Validasi Numerik
Simulasi berjalan stabil tanpa munculnya osilasi numerik atau ketidakfisisan hasil. Hal ini membuktikan bahwa pemilihan langkah waktu (ฮt=0.01 detik) dan ukuran grid ruang (ฮr=0.01โm, ฮz=0.005โm) telah memenuhi syarat kestabilan metode eksplisit FTCS.
Implikasinya, hasil simulasi dapat dianggap sahih dan dapat diandalkan untuk interpretasi perilaku termal disc brake.
Diskusi Mengenai Keterbatasan Model
Meskipun hasil simulasi memberikan gambaran yang baik mengenai distribusi suhu, ada beberapa keterbatasan dalam model ini:
- Simplifikasi Model: Model ini menggunakan asumsi bahwa sistem rem bekerja dalam kondisi konstan tanpa mempertimbangkan variasi lainnya seperti perubahan suhu lingkungan, keausan rem, atau perubahan kekuatan gesekan seiring waktu. Asumsi ini mungkin sedikit mengurangi akurasi model dalam mencerminkan kenyataan secara penuh.
- Kondisi Batas dan Geometri: Penetapan kondisi batas, seperti simetri pada pusat disc dan batasan sederhana untuk konveksi, bisa jadi tidak sepenuhnya merepresentasikan kondisi yang lebih kompleks dalam dunia nyata, seperti variasi kecepatan angin atau desain rem yang lebih kompleks dengan ventilasi.
- Penyederhanaan Sifat Material: Sifat material seperti konduktivitas panas dan kapasitas panas diasumsikan konstan. Pada kenyataannya, sifat-sifat ini mungkin berubah seiring waktu dan suhu. Perubahan ini dapat mempengaruhi hasil simulasi dan memerlukan model yang lebih canggih untuk mencakup faktor ini.
Implikasi Praktis dan Rekomendasi Desain
Berdasarkan hasil simulasi, saya menyarankan beberapa langkah untuk meningkatkan performa sistem pendinginan pada disc brake:
- Peningkatan Desain Ventilasi: Salah satu solusi yang dapat mengurangi risiko overheating adalah dengan menambahkan ventilasi pada disc brake untuk meningkatkan efisiensi konveksi udara. Peningkatan aliran udara dapat secara signifikan menurunkan suhu pada disc brake, terutama pada kondisi pengereman yang intens.
- Penggunaan Material dengan Konduktivitas Panas Lebih Baik: Penggunaan material dengan konduktivitas termal yang lebih tinggi pada disc brake dapat membantu mendistribusikan panas lebih merata dan mengurangi titik panas yang dapat menyebabkan overheat.
- Penerapan Sistem Pendinginan Aktif: Pada kendaraan yang sering digunakan dalam kondisi ekstrem, seperti kendaraan yang melintasi flyover atau tanjakan panjang, sistem pendinginan aktif seperti pendingin cair (liquid cooling) dapat dipertimbangkan untuk menjaga suhu rem tetap optimal.
I. Acknowledgments
Terima kasih kepada Prof. Dr. Ir. Ahmad Indra Siswantara dan seluruh Asisten Dosen kelas Metode Numerik atas ilmu dan manfaat yang diberikan, sehingga saya dapat menyusun Laporan Tugas Besar Metode Numerik untuk memenuhi Ujian Akhir Semester Genap 2024/2025.
J. References
รengel, Yunus A., and Afshin J. Ghajar.
Heat and Mass Transfer: Fundamentals and Applications.
McGraw-Hill Education, 5th Edition, 2015.
Incropera, Frank P., and David P. DeWitt.
Fundamentals of Heat and Mass Transfer.
John Wiley & Sons, 7th Edition, 2011.
Patankar, Suhas V.
Numerical Heat Transfer and Fluid Flow.
Hemisphere Publishing, 1980.
Holman, J. P.
Heat Transfer.
McGraw-Hill, 10th Edition, 2010.
Day, Alexander C., and Timothy J. Mackin.
“Transient Thermomechanical Modeling of Automotive Disc Brakes.”
Journal of Thermal Stresses, vol. 22, no. 2, 1999, pp. 115โ140.
Blau, Peter J.
Friction Science and Technology: From Concepts to Applications.
CRC Press, 2nd Edition, 2008.
K. Appendices
- Distribusi temperatur pada bidang potong disc brake dalam sumbu radial (posisi dari pusat ke tepi piringan) dan aksial (ketebalan piringan).

- Kenaikan suhu maksimum pada disc brake seiring berjalannya waktu saat pengereman berlangsung.

- profil distribusi suhu sepanjang arah radial (dari pusat ke tepi disc brake) pada titik tengah ketebalan disc.
