Elitha Fatmawaty Adila – 2306155174
ุจูุณูู ู ุงูููููู ุงูุฑููุญูู ููู ุงูุฑููุญูููู ู
Assalamualaikum Warahmatullahi Wabarakatuh.
Perkenalkan nama saya Elitha Fatmawaty Adila dengan NPM 2306155174 dari kelas Metode Numerik-01. Pada kesempatan tulisan kali ini saya akan membahas mengenai integrasi metode numerik dalam memahami curve fitting dengan penerapan 33 kriteria evaluasi DAI5.
Dalam dunia komputasi dan analisis data, curve fitting dan integrasi numerik adalah dua konsep penting yang banyak digunakan dalam berbagai bidang ilmu pengetahuan dan teknik. Curve fitting digunakan untuk menemukan fungsi yang paling sesuai dengan sekumpulan data, sedangkan integrasi numerik digunakan untuk menghitung luas di bawah kurva atau menyelesaikan persamaan integral yang tidak memiliki solusi analitik. Dalam menganalisis dan menerapkan kedua metode ini, penting untuk menggunakan pendekatan yang holistik agar hasil yang diperoleh tidak hanya akurat tetapi juga memiliki nilai filosofis dan etis. Salah satu pendekatan yang dapat digunakan adalah framework DAI5 yang menggabungkan kesadaran spiritual dengan metode ilmiah. Framework ini memiliki lima langkah utama: Deep Awareness (of) I, Intention, Initial Thinking (about the Problem), Idealization, dan Instruction Set. Dengan menerapkan 33 kriteria evaluasi yang terdapat dalam framework DAI5, kita dapat memahami masalah curve fitting dan integrasi numerik dengan lebih mendalam dan bertanggung jawab.
1. Deep Awareness (of) I (DAI) Langkah pertama dalam framework DAI5 adalah memahami kesadaran diri terhadap peran kita dalam menyelesaikan masalah serta memahami hubungan antara ilmu pengetahuan dan nilai spiritual. Dalam konteks curve fitting dan integrasi numerik, beberapa aspek utama yang harus dipertimbangkan adalah:
- Kesadaran Tujuan: Menyadari bahwa metode ini digunakan untuk mendapatkan hasil yang akurat dan berguna bagi masyarakat.
- Kesadaran Diri: Menyadari batasan pemahaman kita terhadap metode numerik yang digunakan serta bagaimana bias dapat mempengaruhi hasil.
- Pertimbangan Etis: Memastikan bahwa penggunaan curve fitting dan integrasi numerik tidak disalahgunakan untuk memanipulasi data atau memberikan hasil yang menyesatkan.
2. Intention Langkah kedua dalam framework DAI5 adalah menetapkan niat yang benar dalam menyelesaikan masalah. Dalam analisis curve fitting dan integrasi numerik, aspek niat mencakup:
- Niat yang Jelas: Memastikan bahwa tujuan utama dari analisis ini adalah untuk menghasilkan solusi yang benar dan dapat dipertanggungjawabkan.
- Kesesuaian dengan Nilai: Menggunakan metode yang sesuai dengan prinsip-prinsip ilmiah dan etika.
- Komitmen terhadap Kualitas: Berusaha mendapatkan hasil yang akurat dengan menggunakan teknik yang tepat serta melakukan verifikasi dan validasi terhadap hasil yang diperoleh.
3. Initial Thinking (about the Problem) Langkah ketiga adalah memahami masalah yang dihadapi secara menyeluruh sebelum menentukan solusi. Dalam analisis curve fitting dan integrasi numerik, beberapa hal yang perlu diperhatikan adalah:
- Pemahaman Masalah: Mengidentifikasi apakah data yang tersedia cocok untuk dilakukan curve fitting atau apakah fungsi yang akan diintegrasikan memiliki sifat tertentu yang harus diperhitungkan.
- Identifikasi Variabel: Menentukan variabel-variabel yang relevan dalam analisis, seperti metode interpolasi, derajat polinomial dalam curve fitting, atau teknik integrasi numerik yang paling sesuai.
- Pengumpulan Data: Memastikan bahwa data yang digunakan adalah valid dan bebas dari error yang signifikan.
4. Idealization Langkah keempat adalah melakukan penyederhanaan masalah dengan tetap mempertahankan akurasi dan relevansi hasil. Dalam konteks curve fitting dan integrasi numerik, langkah ini mencakup:
- Penyederhanaan Model: Memilih model matematis yang tepat agar dapat merepresentasikan data dengan baik tanpa overfitting.
- Pemilihan Metode: Menentukan metode curve fitting yang paling sesuai, seperti metode polinomial, least squares, atau spline fitting, serta memilih metode integrasi numerik seperti metode trapezoid, Simpson, atau Gaussian quadrature.
- Validasi Asumsi: Menguji asumsi yang digunakan, seperti linearitas data dalam curve fitting atau konvergensi metode numerik yang digunakan dalam integrasi.
Rumus-Rumus yang Digunakan
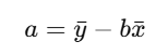
- Curve Fitting dengan Metode Least Squares:

dengan koefisien a dan b dihitung menggunakan:


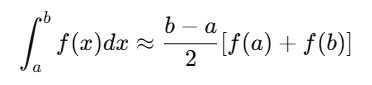
- Integrasi Numerik dengan Metode Trapezoid:

5. Instruction Set Langkah terakhir dalam framework DAI5 adalah mengembangkan langkah-langkah implementasi yang jelas untuk memastikan bahwa metode yang digunakan dapat diterapkan secara efektif. Dalam analisis curve fitting dan integrasi numerik, langkah ini mencakup:
- Pengembangan Prosedur: Menyusun algoritma atau kode pemrograman untuk mengimplementasikan metode yang telah dipilih.
- Implementasi: Melakukan perhitungan numerik menggunakan software atau bahasa pemrograman seperti Python, MATLAB, atau JavaScript.
- Evaluasi dan Penyesuaian: Menganalisis hasil yang diperoleh, membandingkannya dengan metode lain, dan melakukan penyesuaian jika diperlukan untuk meningkatkan akurasi.
Contoh Implementasi dalam JavaScript

Contoh Visualisasi Heat Map dan Curve Fitting


Kesimpulan
Dengan menerapkan 33 kriteria evaluasi dalam framework DAI5, kita dapat memahami masalah curve fitting dan integrasi numerik dengan lebih mendalam, baik dari segi teknis maupun filosofis. Framework ini membantu kita tidak hanya dalam mendapatkan solusi yang optimal tetapi juga dalam mempertimbangkan dampak etis dan moral dari metode yang digunakan. Dengan demikian, analisis curve fitting dan integrasi numerik dapat dilakukan dengan pendekatan yang lebih holistik dan bertanggung jawab, memastikan bahwa ilmu pengetahuan digunakan untuk kebaikan dan kebermanfaatan bersama.
Sekian terimakasih, wassalammualaikum warahmatullahi wabarakatu.