Selamat pagi pak DAI dan teman-teman. Perkenalkan nama saya Markus Toshimasa Oki dengan NPM 2306155161. Pada kesempatan kali ini, saya akan menjelaskan mengenai integrasi numerik menggunakan DAI 5 untuk heat conduction 2D dengan software CFDSOF. Berikut adalah penjelasan konsep DAI 5 dalam integrasi numerik heat conduction 2D :
1). Deep Awareness of I
Dengan adanya kesadaran kita, kita menjadi sadar bahwa integrasi numerik bukan hanya perhitungan angka saja, namun dengan integrasi numerik kita dapat memahami pentingnya fenomena fisik seperti seperti heat conduction. Dalam fenomena heat conduction ini kita dapat melihat pergerakan perpindahan panas dengan menggunakan konsep integrasi numerik.
2). Intention
Dengan niat, saya mendapatkan tujuan dari melakukan integrasi numerik ini yaitu untuk mensimulasikan dan menganalisis data temperatur dan juga fluks panas serta daya pada heat conduction 2D.
3). Intial thinking
Dengan intial thinking kita dapat mengerti permasalahan apa yang akan kita selsaikan, seperti pada tugas ini. Data dari heat conduction 2D digunakan untuk melakukan curve fitting, mendapatkan persamaan temperature dan persamaan fluks panas, menghitung daya, dan juga persebaran daya.
4). Idealization
Simulasi heat conduction 2D dilakukan dengan step by step sesuai yang telah diperintahkan, yaitu melakukan curve fitting dan mendapatkan persamaan, lalu persamaan tersebut di ubah menjadi persamaan fluks panas, lalu setelah itu kita akan menghitung daya dengan integrasi fluks panas, lalu kita meminta AI untuk membuatkan perhitungan dan visualisasi persebaran daya.
5).Instruction Set
Dengan instruction set, kita dapat memahami langkah-langkah yang harus diambi.Berikut adalah langkah-langkah dalam melakukan integrasi numerik heat conuction 2D:
1). Curve Fitting dengan data dari plot xy dengan fungsi sumbu Y (J2-J10)
2). Konversi persamaan temperatur menjadi persamaan fluks panas
3).Menghitung daya menggunakan integrasi
4). Membuat prompt ke AI untuk melakuka perhitungan dan visualisasi persebaran daya
Berikut adalah hasil dari tugas yang telah saya kerjakan:
1). Curve Fitting dengan data dari plot xy dengan fungsi sumbu Y (J2 -J10)

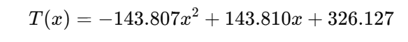
Persamaan Temperatur:

2).Konversi persamaan temperatur menjadi persamaan fluks panas

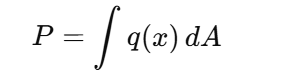
3). Menghitung daya menggunakan integrasi

maka didapatkan P nya:

4). Visualisasi persebaran daya

Penjelasan mengenai visualisasi persebaran daya:
-Warna Merah (Zona Panas)
Menunjukkan nilai daya panas yang lebih tinggi pada posisi tertentu.Ini berarti di daerah ini terjadi perpindahan panas yang lebih intens.Biasanya muncul di bagian tengah domain, sesuai dengan tren hasil fitting polinomial.
-Warna Biru (Zona Dingin)
Menunjukkan nilai daya panas yang lebih rendah. Artinya, perpindahan panas di daerah ini lebih kecil dibandingkan area lain.
-Gradasi Warna (Dari Biru ke Merah)
Menunjukkan bagaimana daya berubah secara bertahap di sepanjang domain X. Jika terjadi transisi warna yang tajam, itu berarti ada perubahan besar dalam laju perpindahan panas.Jika gradasinya halus, perpindahan panas terjadi secara lebih bertahap.
Mungkin sekian penjelasan saya mengenai integrasi numerik menggunakan DAI 5 untuk konduksi panas 2D, mohon maaf apabila ada kesalahan dan kekurangan kata, atas perhatiannya saya ucapkan terimakasih.