Elitha Fatmawaty Adila (2306155174) – Metode Numerik 01
بِسْمِ اللَّهِ الرَّحْمَنِ الرَّحِيْمِ
Assalammualaikum Warahmatullahi Wabarakatuh.
Selamat Pagi, Prof. Dr. Ahmad Indra sebagi dosen pengampu mata kuliah Metode Numerik 01. Perkenalkan nama saya Elitha Fatmawaty Adila dengan NPM 2306155174 dari kelas Metode Numerik 01. Dalam pembuatan blog ini saya akan membahas mengenai analisis curve fitting beserta persamannya berdasarkan simulasi dari study case tugas sebelumnya yang telah dikerjakan melalui CFDSOF. Dalam pengerjaannya, saya menggunakan dua tools, yaitu DAI5 dan AI.
Sebagai mahasiswa Teknik Mesin Universitas Indonesia, pendekatan sistematis dalam pembelajaran sangat penting untuk memperoleh pemahaman yang lebih mendalam mengenai materi perkuliahan. Salah satu metode yang dapat digunakan adalah Framework DAI5, yang membantu dalam menyusun analisis secara lebih terstruktur.
Framework DAI5 akan diterapkan untuk membantu dalam memahami dan menganalisis konduksi panas steady-state dalam plat 2D dengan pendekatan numerik. Studi ini akan dilakukan dengan menggunakan software CFDSOF untuk simulasi distribusi temperatur, curve fitting untuk memperoleh persamaan temperatur, serta perhitungan heat flux dan daya dengan metode integral numerik.
DEEP AWARENESS OF I
Analisis konduksi panas tidak hanya sekadar konsep fisika dalam teknik mesin, tetapi juga merupakan representasi dari bagaimana alam bekerja secara harmonis. Prinsip konservasi energi dalam perpindahan panas menunjukkan bahwa setiap sistem tunduk pada hukum-hukum fisika yang telah ditetapkan oleh Allah SWT untuk menjaga keseimbangan energi dalam alam semesta.
Dalam penelitian dan analisis numerik, objektivitas sangat penting. Setiap data yang digunakan harus dikelola secara bebas dari bias dan manipulasi, agar hasil yang diperoleh valid serta dapat diterapkan dalam berbagai bidang industri dan teknik. Sebagai mahasiswa Teknik Mesin, kita harus menerapkan etika akademik dalam setiap penelitian yang dilakukan, terutama dalam menggunakan perangkat lunak simulasi dan kecerdasan buatan (AI) sebagai alat bantu perhitungan.
Analisis ini tidak hanya bermanfaat untuk memahami teori konduksi panas, tetapi juga memiliki aplikasi yang luas dalam industri manufaktur, sistem pendingin, desain mesin, dan energi terbarukan. Dengan pemahaman yang lebih mendalam, ilmu ini dapat diterapkan dalam pengembangan teknologi hemat energi dan ramah lingkungan.
INTENTION
Tujuan utama dari penelitian ini adalah untuk memahami bagaimana distribusi temperatur dan fluks panas dalam sistem konduksi panas steady-state 2D dapat dianalisis secara numerik. Dengan pendekatan ini, kita dapat memperoleh persamaan temperatur melalui curve fitting, menghitung heat flux, dan akhirnya menentukan daya total yang dihantarkan dalam sistem.
Beberapa aspek penting dalam tugas ini meliputi:
– Menggunakan perangkat lunak CFDSOF untuk mensimulasikan distribusi temperatur dalam plat 2D.
– Menerapkan metode curve fitting untuk mendapatkan persamaan temperatur berdasarkan data numerik.
– Menghitung fluks panas (heat flux) berdasarkan hukum Fourier.
– Menggunakan integrasi numerik untuk memperoleh daya total dalam sistem.
– Menerapkan kecerdasan buatan (AI) untuk membantu dalam perhitungan dan visualisasi distribusi daya.
Selain itu, penting untuk mempertimbangkan efisiensi energi dan keberlanjutan dalam sistem perpindahan panas. Dengan memahami konduksi panas secara lebih mendalam, kita dapat merancang sistem pendingin dan pemanas yang lebih hemat energi dan ramah lingkungan.
INITIAL THINKING
Dalam penelitian ini, terdapat beberapa tantangan utama yang perlu diatasi:
– Bagaimana cara memperoleh persamaan temperatur yang sesuai dengan data hasil simulasi?
Data temperatur dari simulasi CFDSOF perlu difitting menggunakan berbagai metode, seperti linear, polinomial, atau eksponensial curve fitting.
– Bagaimana hubungan antara distribusi temperatur dan aliran panas?
Setelah memperoleh persamaan temperatur, kita perlu menggunakan hukum Fourier untuk menentukan fluks panas dalam sistem.
– Bagaimana perhitungan daya total dilakukan dengan metode integral numerik?
Daya dihitung dengan mengintegralkan heat flux terhadap area permukaan yang dianalisis.
Pendekatan metode numerik sangat penting dalam tugas ini karena memungkinkan kita untuk menyelesaikan masalah kompleks yang sulit dipecahkan secara analitik. Dengan menggunakan perangkat lunak seperti CFDSOF dan AI untuk membantu dalam perhitungan, hasil yang diperoleh dapat lebih akurat dan efisien.
IDEALIZATION
Dalam penelitian ini, beberapa asumsi digunakan untuk menyederhanakan analisis tanpa mengurangi akurasi hasil:
– Material homogen dan isotropik
Konduktivitas termal dianggap konstan di seluruh domain.
– Kondisi batas tetap
Temperatur pada dinding sistem dianggap tidak berubah selama proses berlangsung.
– Distribusi temperatur kontinu
Tidak ada perubahan suhu yang tiba-tiba dalam sistem, sehingga metode curve fitting dapat diterapkan dengan baik.
Pendekatan ini memungkinkan kita untuk menggunakan AI dalam analisis data dan memperoleh model matematis yang lebih akurat. Dengan menerapkan metode ini, kita dapat melakukan eksperimen numerik dengan berbagai skenario untuk memahami bagaimana variasi parameter mempengaruhi hasil.
INSTRUCTION-SET
Agar seluruh analisis dapat dilakukan secara sistematis dan menyeluruh, proses penelitian ini dilakukan melalui tahapan berikut:
1. Pengumpulan Data Temperatur dari Simulasi (J2 – J10)
– Menggunakan aplikasi CFDSOF untuk menjalankan simulasi.
– Menginput grid perhitungan dengan ukuran 12×12.
– Mengaktifkan opsi perhitungan temperatur pada fitur perpindahan panas.
– Mengatur suhu di setiap dinding sistem dengan parameter berikut:
- W1 = 303K
- W2 = 16.2 W/m-K
- W3 = 373K
- W4 = 353K
– Melakukan iterasi sebanyak 1000 kali untuk mendapatkan hasil yang stabil.
– Mengekspor data hasil simulasi dari posisi J2 hingga J10 dalam format CSV untuk dianalisis lebih lanjut.



2. Curve Fitting untuk Mendapatkan Persamaan Temperatur
– Menggunakan metode regresi polinomial atau eksponensial untuk memodelkan hubungan temperatur dengan posisi pada sumbu Y.
– Menentukan persamaan terbaik berdasarkan nilai koefisien determinasi (R²).
– Persamaan temperatur yang diperoleh digunakan untuk menghitung fluks panas.



3. Analisis Data Temperatur
Dengan metode regresi polinomial, kita dapat memperoleh persamaan berikut:

Koefisien a, b, dan c diperoleh melalui teknik least squares regression berdasarkan titik J2 hingga J10 dari simulasi sebelumnya.


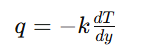
4. Menghitung Fluks Panas dengan Hukum Fourier
Flux panas dalam konduksi dapat diperoleh dari hukum Fourier:

Dengan k sebagai konduktivitas termal material. Dari persamaan temperatur yang diperoleh sebelumnya, kita dapat menurunkan persamaannya untuk mendapatkan:



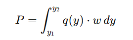
Berikut adalah hasil perhitungan daya total yang berpindah dalam sistem menggunakan metode integral:


Hasil perhitungan ini kemudian divisualisasikan agar pola distribusi daya lebih mudah dipahami dalam konteks fisik.
5. Visualisasi Persebaran Daya
Hasil perhitungan ini kemudian divisualisasikan agar pola distribusi daya lebih mudah dipahami dalam konteks fisik.
– Menggunakan heatmap dan kontur untuk menampilkan distribusi daya dalam sistem.
– Menggunakan AI untuk menghasilkan grafik yang lebih akurat dan informatif.



KESIMPULAN
Analisis konduksi panas steady state 2D melalui metode integrasi numerik memberikan wawasan yang mendalam mengenai distribusi temperatur dan aliran fluks panas dalam suatu sistem. Dengan memanfaatkan teknologi AI dan perangkat lunak CFDSOF, perhitungan curve fitting, diferensiasi, dan integrasi numerik dapat dilakukan dengan lebih cepat dan akurat.
Kesimpulan utama dari penelitian ini adalah:
- Curve fitting memungkinkan kita mendapatkan persamaan temperatur yang sesuai dengan data hasil simulasi.
- Dengan menggunakan hukum Fourier, kita dapat mengonversi persamaan temperatur menjadi persamaan fluks panas.
- Perhitungan daya total melalui metode integral numerik memberikan informasi penting tentang transfer energi dalam sistem.
- Visualisasi persebaran daya dalam bentuk heatmap membantu dalam memahami pola aliran panas dalam domain.
Dengan adanya integrasi antara metode numerik dan teknologi AI, analisis konduksi panas menjadi lebih efektif dan dapat diterapkan dalam berbagai bidang teknik dan industri.
Referensi:
- DAI5 Framework Guide
- Fourier, J. (1822). Théorie analytique de la chaleur.
- Incropera, F.P., & DeWitt, D.P. (2011). Fundamentals of Heat and Mass Transfer.
- CFDSOF Documentation.