Assalamualaikum wr wb.
Selamat pagi pak DAI. Perkenalkan nama saya Andy Maulana Latif dengan NPM 2306211534 Prodi Teknik Mesin. Pada kesempatan kali ini, saya akan membahas tentang integrasi numerik menggunakan DAI5 untuk konduksi panas 2D menggunakan software CFDSOF, yang mana nanti menghasilkan persebaran daya dalam bentuk grid. Analisisnya adalah sebagai berikut.
- Deep Awareness of I
Saya bersyukur telah diberikan kesempatan oleh Allah SWT untuk bisa menyelesaikan tugas ini. Saya menyadari bahwa integrasi numerik ini penting karena dengan integrasi numerik, saya dapat menghitung nilai integral dari suatu fungsi. - Intention
Saya menetapi tujuan dan niat yaitu memahami integrasi numerik untuk simulasi ini dan memahami bagaimana suhu dan panas didistribusikan dalam sistem. - Initial Thinking
ada faktor-faktor yang mempengaruhi:
-bentuk simulasi (dimensi, cell, kondisi sempadan, aspek yang ditinjau)
-curve fitting
-persamaan temperatur
-persamaan flux panas
-persamaan daya
-prompting - Idealization
-menjalankan simulasi konduksi panas 2d sesuai dengan arahan, mulai dari dimensi cell, kondisi sempadan, suhu, dsb.
-melakukan curve fitting dengan benar untuk mendapatkan persamaan
-memakai hukum fourier untuk mendapatkan persamaan flux panas
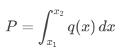
-melakukan integral flux panas untuk mendapatkan persamaan daya
-memprompting dengan baik mengenai hal hal diatas, serta prompting mengenai grid penyebaran daya - Instruction Set
Dimulai dengan:
-Niat mempelajari integrasi numerik
-Mengerjakan ulang konduksi panas 2d di software CFDSOF
-Buat curve fitting dengan data dari plot xy dengan fungsi sumbu Y nya adalah temperatur dari J2 hingga J10 dengan bantuan AI. Hasilnya adalah sebagai berikut:

-Didapat persamaan temperatur:

-Mengubah persamaan temperatur menjadi persamaan flux panas dengan rumus:

dengan k adalah 16,2 W/m.K . Didapat persamaan fluks panas:

-Melakukan integral fluks panas untuk mendapatkan daya:

-Memprompting untuk mendapatkan persebaran daya atau energi panas dalam grid dari simulasi tersebut.

code phyton:
import numpy as np
import matplotlib.pyplot as plt
# Data dari dokumen
x = np.array([0, 0.1, 0.2, 0.3, 0.4, 0.5, 0.6, 0.7, 0.8, 0.9, 1])
y = np.array([0.2, 0.3, 0.4, 0.5, 0.6, 0.7, 0.8, 0.9, 1.0])
T = np.array([
[303, 337.78, 351.28, 357.24, 359.91, 360.68, 359.91, 357.24, 351.28, 337.78, 303],
[303, 323.82, 337.11, 344.78, 348.71, 349.92, 348.71, 344.77, 337.11, 323.82, 303],
[303, 317.42, 328.57, 336.04, 340.24, 341.59, 340.24, 336.04, 328.57, 317.42, 303],
[303, 314.27, 323.73, 330.56, 334.61, 335.95, 334.61, 330.56, 323.73, 314.27, 303],
[303, 312.94, 321.50, 327.86, 331.71, 332.99, 317.13, 327.86, 321.50, 312.94, 303],
[303, 313, 321.47, 327.67, 331.37, 332, 331.37, 327.67, 321.47, 313, 303],
[303, 314.60, 323.73, 329.95, 333.52, 334.67, 333.52, 329.95, 323.73, 314.60, 303],
[303, 318.67, 328.88, 334.91, 338.07, 339.06, 338.07, 334.91, 328.88, 318.67, 303],
[303, 328.22, 338.20, 342.73, 344.80, 345.42, 344.80, 342.73, 338.20, 328.22, 303]
])
# Membuat grid untuk kontur
X, Y = np.meshgrid(x, y)
# Plot kontur
plt.figure(figsize=(8, 6))
contour = plt.contourf(X, Y, T, cmap=’RdBu_r’, levels=20) # Filled contour dengan cmap ‘RdBu_r’ (biru ke merah)
plt.colorbar(contour, label=’Temperatur (Kelvin)’)
plt.contour(X, Y, T, colors=’black’, levels=10, linewidths=0.5) # Garis kontur
# Pengaturan grafik
plt.xlabel(‘x (meter)’)
plt.ylabel(‘y (meter)’)
plt.title(‘Distribusi Temperatur 2D (Kontur)’)
plt.grid(True)
# Tampilkan grafik
plt.show()
Dari tugas ini, saya dapat mengetahui total energi panas yang mengalir pada sistem atau simulasi ini. Dengan bantuan AI, tentu pengerjaan akan jauh lebih mudah dengan waktu yang lebih singkat.
Masih ada beberapa hal yang membuat saya bingung. Walaupun begitu, saya akan tetap belajar agar memahaminya. Mungkin sekian dari saya. Mohon maaf bila ada kesalahan dalam pengerjaan tugas ini.
Wassalamualaikum wr wb.