- Awareness of I
Dalam dunia teknik, pemodelan numerik punya peran penting dalam memahami semua fenomena alam. Dari essay ini yang akan membahas model matematika perpindahan panas satu dimensi (1-D Heat Conduction) yang diawali dengan proses penurunan model matematisnya. Pada tahap ini, saya perlu memiliki kesadaran untuk memahami prinsip-prinsip perpindahan panas serta fenomena fisika yang terjadi di dalamnya.
- Intention
Penurunan persamaan matematika bertujuan untuk membentuk model yang dapat merepresentasikan fenomena perpindahan panas dalam satu dimensi. Selain itu, proses ini juga membantu memperdalam pemahaman manusia terhadap prinsip dasar fisika serta realitas alam sebagai bagian dari ciptaan Tuhan YME.
- Intentional Thinking
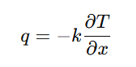
Hukum Fourier menjadi dasar dalam memodelkan konduksi panas. Hukum ini menyatakan bahwa laju perpindahan panas (q) melalui suatu medium berbanding lurus dengan gradien suhu (โT/โx) yang dirumuskan sebagai:

Di mana:
- q = Laju perpindahan panas per satuan luas (W/mยฒ).
- k = Konduktivitas termal material (W/mยทK).
- โT/โx = Gradien suhu sepanjang arah x.
Tanda negatif menunjukkan bahwa panas selalu mengalir dari daerah bersuhu tinggi ke daerah bersuhu lebih rendah.
Prinsip konservasi energi diterapkan pada elemen kecil dalam suatu medium. Misalkan terdapat elemen dengan:
- Panjang ฮx
- Luas penampang A
- Volume Aฮx
Energi dalam elemen ini berubah sesuai dengan jumlah energi yang masuk dikurangi energi yang keluar.
Energi yang masuk melalui permukaan di x:

Di mana:
- ฯ = Massa jenis material (kg/mยณ)
- cโ = Kapasitas panas spesifik (J/kgยทK)
- โT/โt = Laju perubahan suhu terhadap waktu
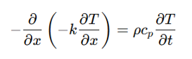
Berdasarkan hukum konservasi energi:
Energi Masuk โ Energi Keluar = Perubahan energi dalam elemen
Jika sudah substitusikan nilai yang telah disebutkan sebelumnya:


Menggunakan Hukum Fourier (q = -k โT/โx), substitusikan ke dalam persamaan di atas:


Kondisi Awal dan Batas
- Idealization
Untuk menyelesaikan persamaan ini, diperlukan kondisi awal dan batas, seperti:
- Kondisi awal: Distribusi suhu awal T(x,0).
- Kondisi batas:
- Dirichlet: Suhu tetap pada batas, misalnya T(0, t) = Tโ.
- Neumann: Fluks panas tetap pada batas, misalnya โT/โx (L,t) = 0 (tidak ada fluks panas di x = L).
Penyelesaian Persamaan
Solusi persamaan konduksi panas 1-D dapat diperoleh dengan dua pendekatan:
- Metode analitik: Misalnya, menggunakan metode separasi variabel untuk mendapatkan solusi eksak.
- Metode numerik: Seperti metode beda hingga yang digunakan ketika solusi analitik sulit diperoleh. untuk kondisi batas:

- Instruction Set
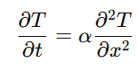
Maka didapatkan model matematikanya:

Solusi Numerik dengan CFDSOF
Pak DAI mengajarkan cara melakukan simulasi permodelan sistematis 1-D heat
Conduction menggunakan software CSDSOF pada perhitungan batang heat conduction 1 inch.
Cara pengerjaannya awalnya kita menginput domain dengan mengatur panjang, tinggi, dan
lebar dimensi dan juga mengatur jumlah cell koordinat I dan J, lalu kita mengatur cell nya
dengan bagian atas dan bawah sebagai pembatas dan kita memvariasikan sumber panasnya
dengan jumlah cell 10×4 yang tadi diberi tanda w3 dan w4 dibagian kanan dan kiri. Setelah itu
kita mengatur kondisi sempadannya dengan w2 dijadikan conducting wall karena ruang kosong
dan kita set temperatur semua w nya dengan w2 diberikan suhu 0 Derajat Celsius, w3 diberikan
suhu 310 Kelvin, dan w4 diberikan suhu 290 Kelvin. Lalu kita mengatur persamaannya dan W5 340 Kelvin dengan hanya memilih permsaaan Temperatur Entalpi dan kita lakukan iterasi yang akhirnya akan
muncul grafik perbandingan antara suhu terhadap waktu yang nanti line 4519 adalah akhir dari
konvergensi. Kita juga bisa menampilkan distribusi temperatur dalam suatu domain aliran
dengan mencari fitur kontur dan memilih opsi penuh. lalu kita juga bisa memvariasikan dengan
mengubah cellnya pada bagian bawah menjadi w5 yang divariasikan juga suhunya sebagai
sumber panas demikian. Nanti kita langsung lakukan iterasi untuk melihat grafik perubahannya
dan menampilkan distribusi temperatur dalam suatu domain aliran dengan mencari fitur
kontur.

Variasi pada dinding W1 hinggga W5
- W1 ( Sebagai Barrier system heat conduction) รจ Flux Panas = 0
- W2 ( Sebagai Konduksi Wall agar panasnya bisa merambat melalui konduksi ini) รจ Flux Panas = 16.2 W/mK
- W3 (Sumber Panas) รจ Suhu = 310 K
- W4 (Sumber Panas) รจ Suhu = 290 K
- W5 (Sumber Panas) รจ Suhu = 340 K

